千亿> >上海高考 >上海高考资讯 >上海分数线 >

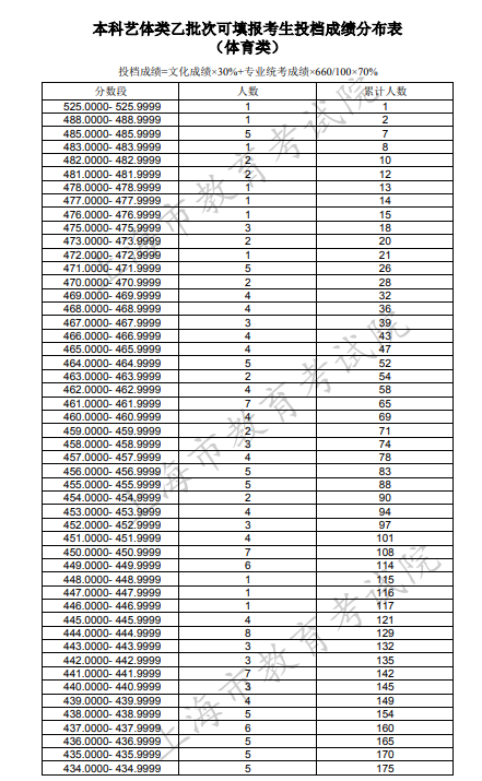
2020上海高考一分一段表 体育类投档成绩排名

时间: 分数线

一分一段表是很重要的填报志愿的依据,是从高到低的排名,考生根据成绩对照一分一段表,就可以知道自己在全省的排名,再参照各类学校各批次招生计划数,确定自己该如何填报志愿。

2020上海高考体育类投档成绩排名