2022广东高考成绩一分一段表及位次排名(含本科专科)
时间:
高考新闻
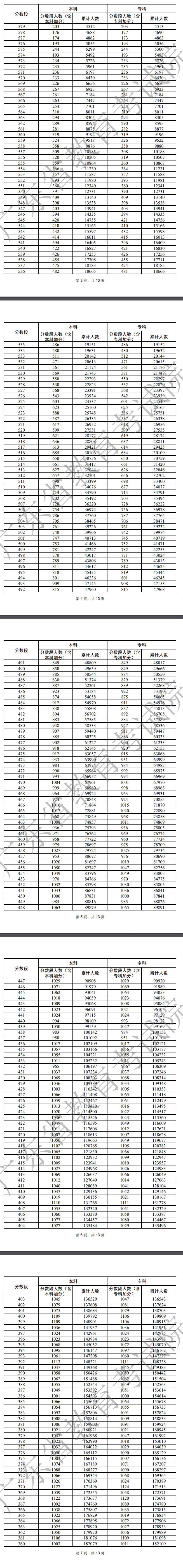
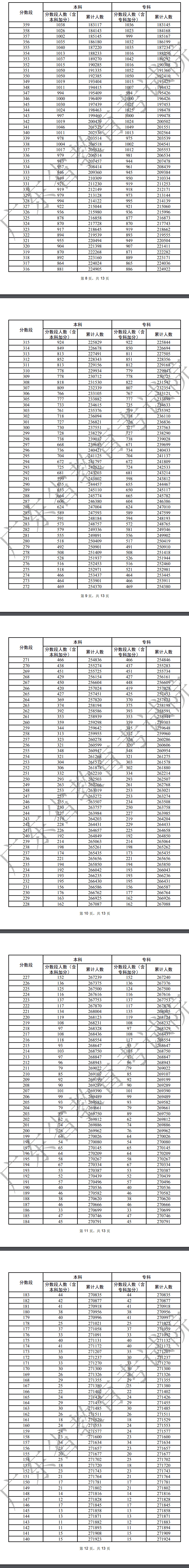
2022广东高考各批次录取分数线已发布,其中同学们最关心的是2022年广东高考成绩一分一段统计、分段位次排名等相关信息,本文将为大家整理2022年广东高考成绩一分一段表统计情况,供考生查询参考。
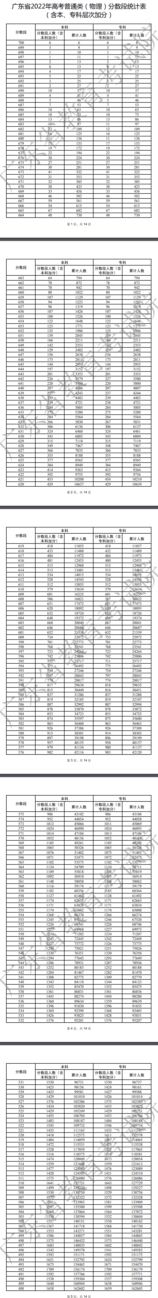
广东2022高考物理类一分一段表
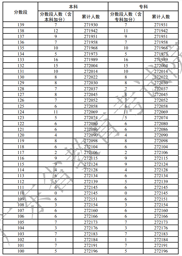
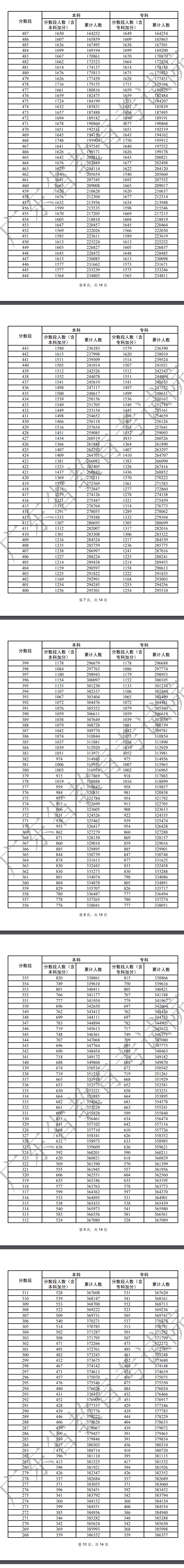
广东2022高考历史类一分一段表
2022广东高考各批次录取分数线已发布,其中同学们最关心的是2022年广东高考成绩一分一段统计、分段位次排名等相关信息,本文将为大家整理2022年广东高考成绩一分一段表统计情况,供考生查询参考。