2021年八省联考湖南物理试题及答案
时间:
理综试题
2021年八省联考湖南物理试题及答案
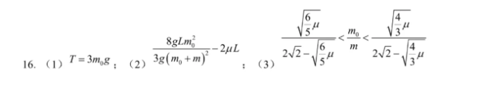
参考答案
1-6ADCDCC
7.BD
8.BC
9.BCD
10.AC
11.BCE
12.ACE
球速在线官网 | 乐动官方网页版 | 拼搏在线平台(中国)官网 | 易游手机站·官方版在线 | 米乐手机站·官方版在线 | 万搏线上平台 | 球友会·体育 | IM官方网页版 | 千亿手机站·官方版在线 |
湖南高考理综试题搜索2021年八省联考湖南物理试题及答案2021-02-02 15:36:23文/李文源2021年八省联考湖南物理试题及" />
2021年八省联考湖南物理试题及答案
参考答案
1-6ADCDCC
7.BD
8.BC
9.BCD
10.AC
11.BCE
12.ACE