吉黑两省十校联合体2024-2025学年高一上11月期中数学试题及答案
时间:
吉林 高中数学
吉林黑龙江两省十校联合体2024-2025学年高一上11月期中数学考试已于近日开考,为方便考生考后及时查看考试情况,查漏补缺、弥补不足,本文整理了试题答案解析相关信息!
汇总:吉黑两省十校联合体2024-2025学年高一上11月期中试题及答案汇总
数学试题及答案解析
吉林黑龙江两省十校联合体2024-2025学年高一上11月期中数学考试已于近日开考,为方便考生考后及时查看考试情况,查漏补缺、弥补不足,本文整理了试题答案解析相关信息!
汇总:吉黑两省十校联合体2024-2025学年高一上11月期中试题及答案汇总
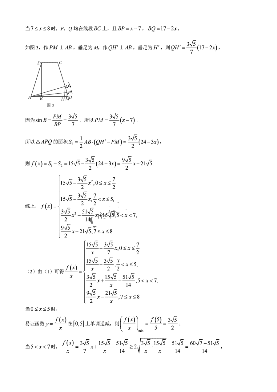
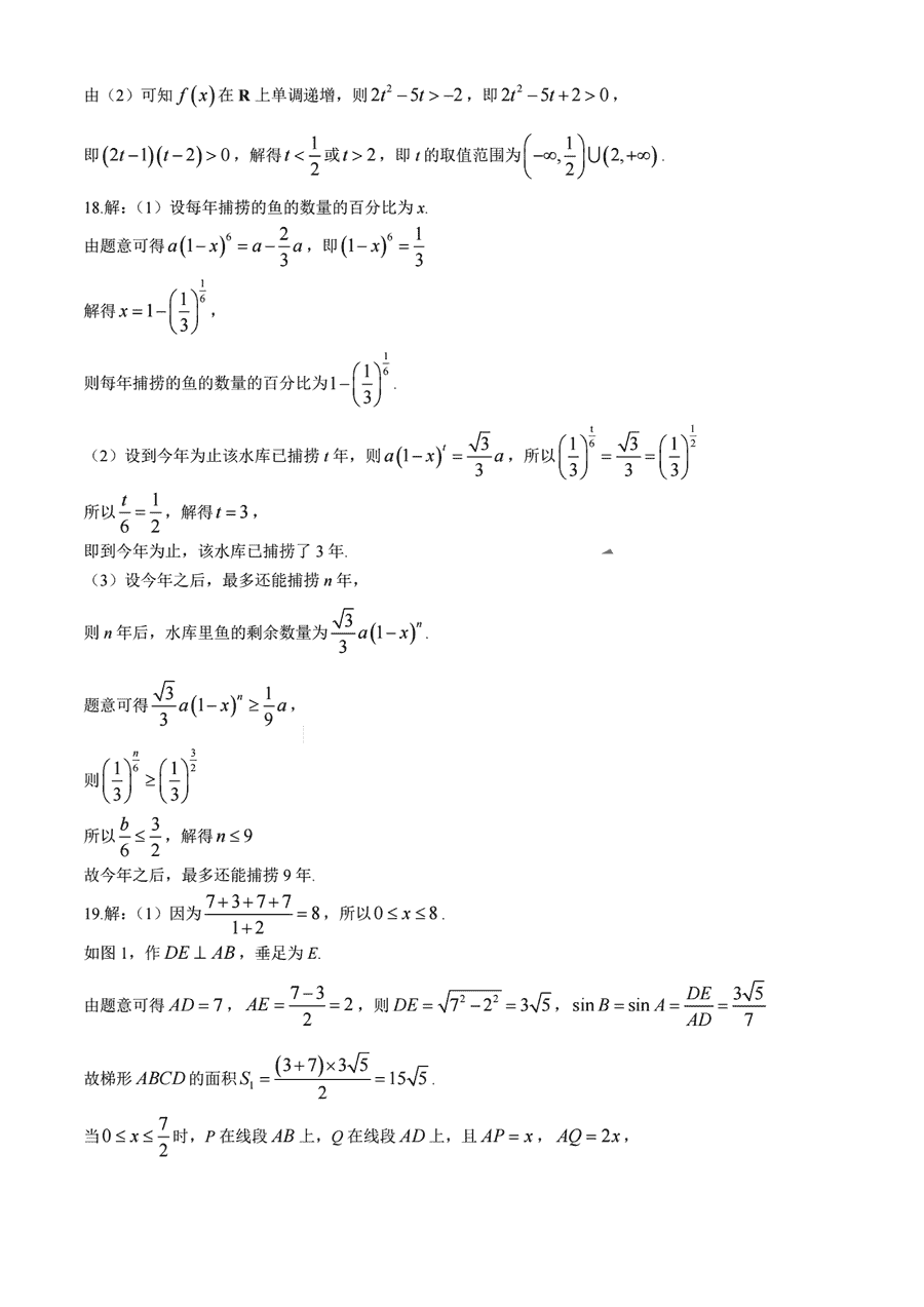
数学试题及答案解析