千亿 >辽宁高考 >辽宁高考试题 >辽宁数学试题 >

辽宁七校协作体2025届高三上学期11月期中数学试题及答案

时间: 辽宁 数学试题

辽宁七校协作体2024-2025学年高三上学期11月期中联考数学考试已于近日开考,为方便考生考后及时查看考试情况,查漏补缺、弥补不足,本文整理了试题答案解析相关信息!

汇总:辽宁七校协作体2024-2025学年高三上学期11月期中联考试题及答案汇总

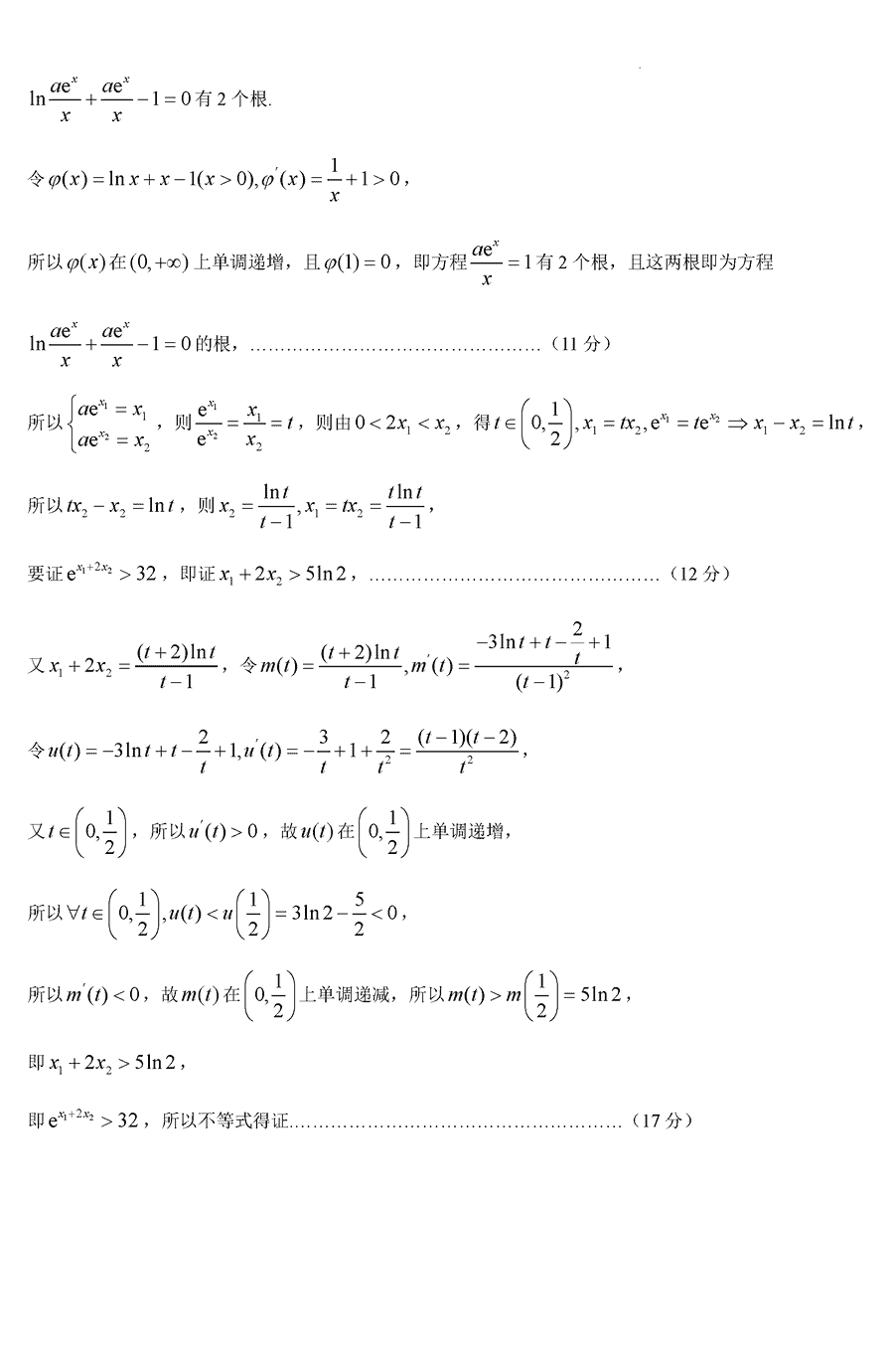
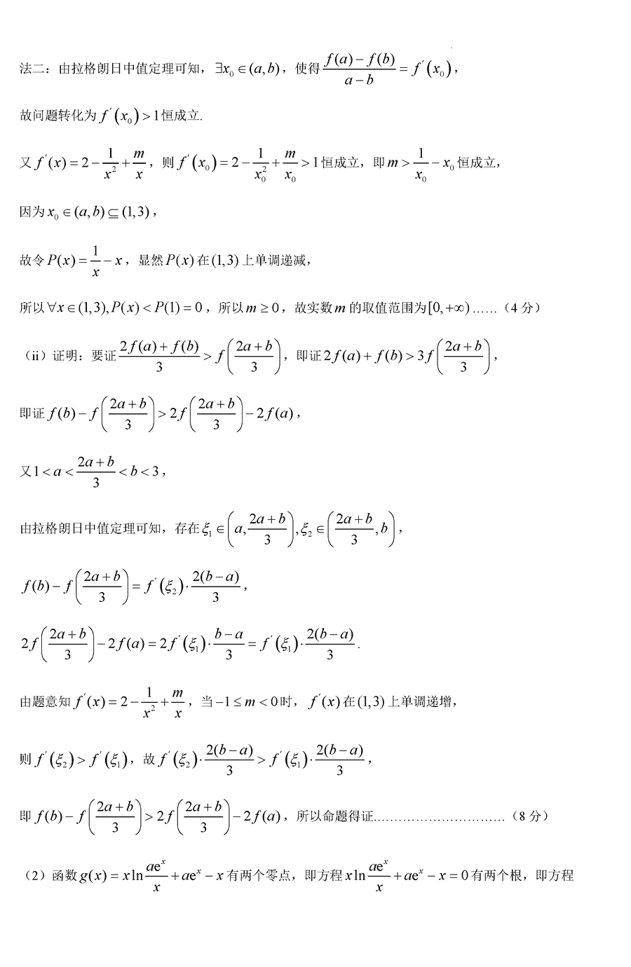
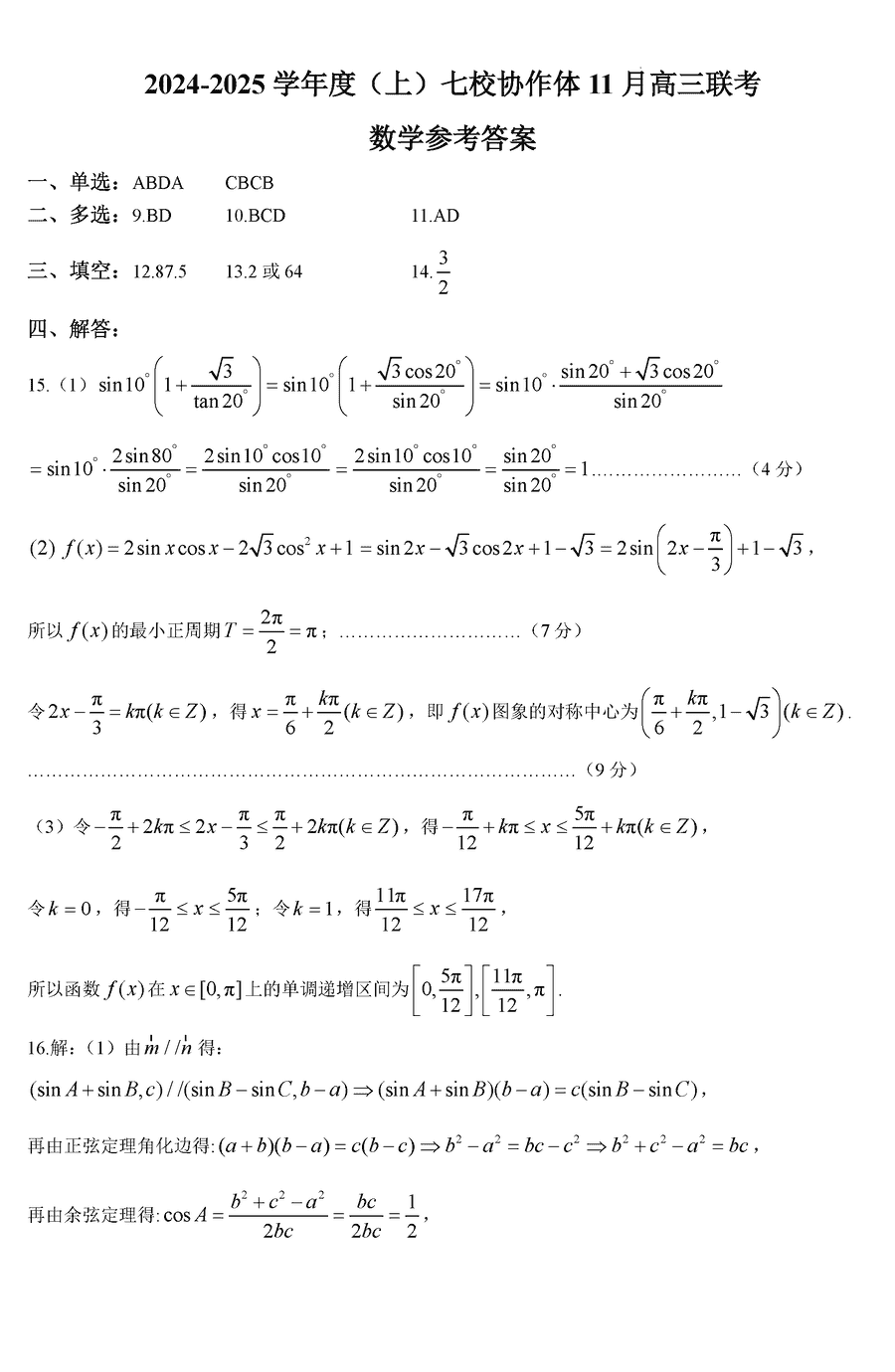
数学试题及答案解析