广西邕衡教育名校联盟2025届高三年级12月联考数学试题及答案
时间:
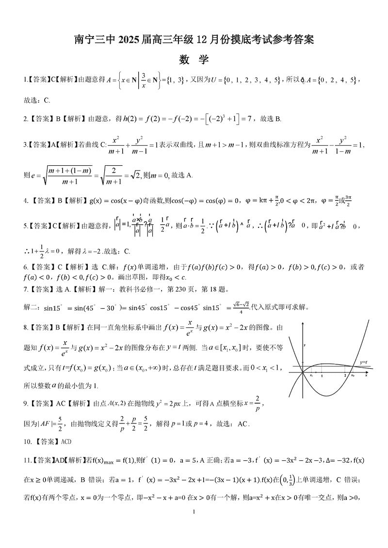
广西 数学试题
广西邕衡教育名校联盟2025届高三年级12月联考数学考试已于近日开考,为方便考生考后及时查看考试情况,查漏补缺、弥补不足,本文整理了试题答案解析相关信息!
汇总:广西邕衡教育名校联盟2024年-2025年度上学期高三年级12月联考试题及答案汇总
数学试题及答案解析
广西邕衡教育名校联盟2025届高三年级12月联考数学考试已于近日开考,为方便考生考后及时查看考试情况,查漏补缺、弥补不足,本文整理了试题答案解析相关信息!
汇总:广西邕衡教育名校联盟2024年-2025年度上学期高三年级12月联考试题及答案汇总
数学试题及答案解析