江西上进联考2024-2025学年高三下学期2月统测数学试题及答案
时间:
江西 数学试题
江西上进联考2024-2025学年高三下学期2月统测数学考试已于近日开考,为方便考生考后及时查看考试情况,查漏补缺、弥补不足,本文整理了试题答案解析相关信息!
汇总:江西上进联考2024-2025学年高三下学期2月统一调研测试试题及答案汇总
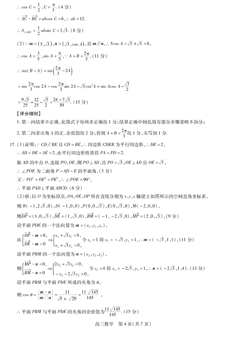
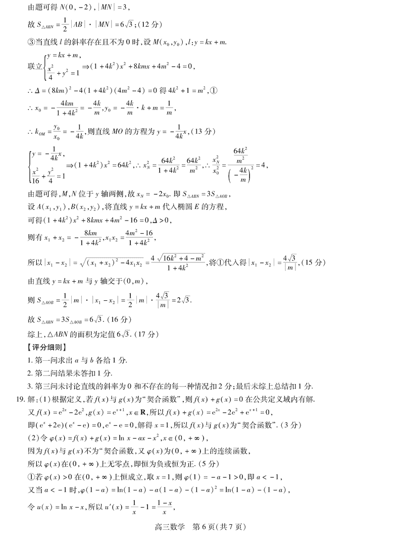
数学试题及答案解析
江西上进联考2024-2025学年高三下学期2月统测数学考试已于近日开考,为方便考生考后及时查看考试情况,查漏补缺、弥补不足,本文整理了试题答案解析相关信息!
汇总:江西上进联考2024-2025学年高三下学期2月统一调研测试试题及答案汇总
数学试题及答案解析