千亿 >江西高考 >江西高考试题 >江西理综试题 >

江西九江十校2025届高三2月开学联考化学试题及答案

时间: 江西 理综试题

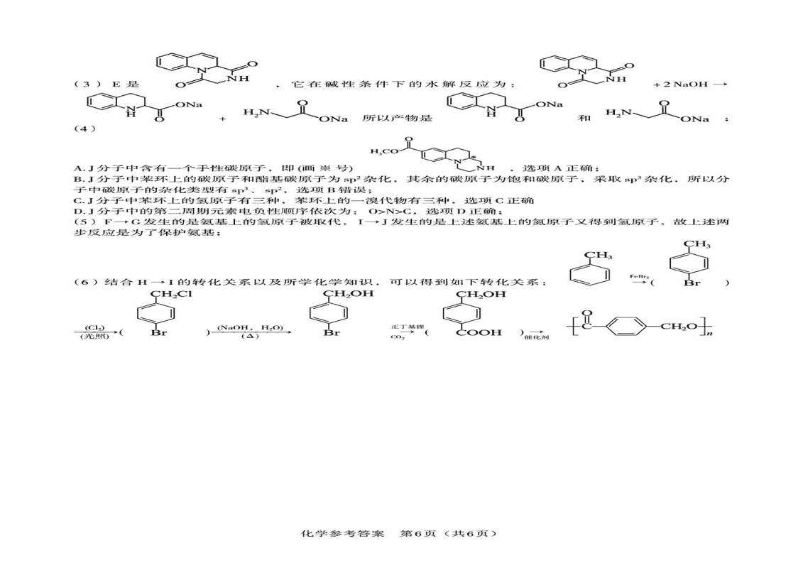
江西九江十校2025届高三2月开学联考化学考试已于近日开考,为方便考生考后及时查看考试情况,查漏补缺、弥补不足,本文整理了试题答案解析相关信息!

汇总:江西九江十校2025届高三2月开学联考试题及答案汇总

化学试题及答案解析