2025届广东三校高三下学期2月第一次模考数学试题及答案
时间:
广东 数学试题
2025届广东三校高三下学期2月第一次模考数学考试已于近日开考,为方便考生考后及时查看考试情况,查漏补缺、弥补不足,本文整理了试题答案解析相关信息!
汇总:2025届广东省三校高三下学期2月第一次模拟考试试题及答案汇总
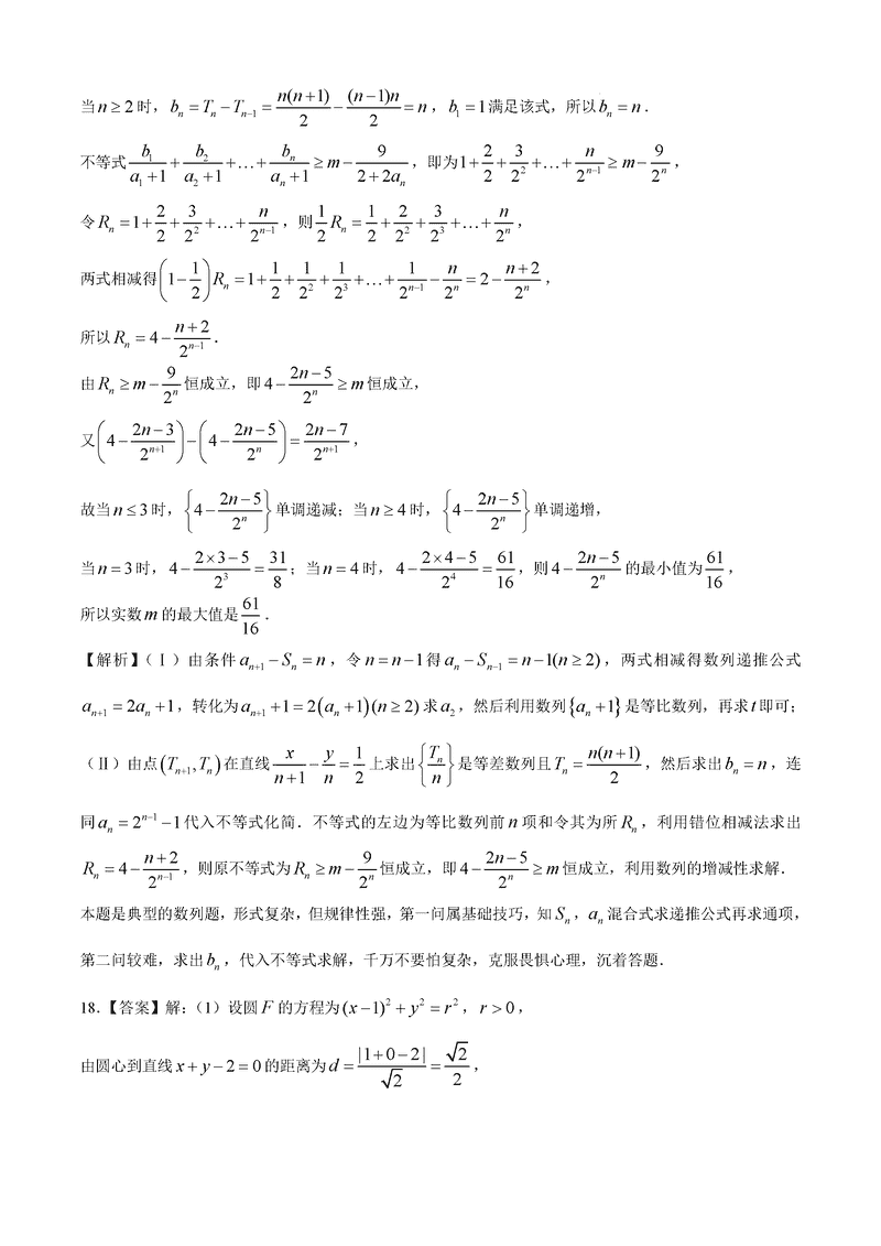
数学试题及答案解析
2025届广东三校高三下学期2月第一次模考数学考试已于近日开考,为方便考生考后及时查看考试情况,查漏补缺、弥补不足,本文整理了试题答案解析相关信息!
汇总:2025届广东省三校高三下学期2月第一次模拟考试试题及答案汇总
数学试题及答案解析