赤峰二模2025届高三下学期3·20模考数学试题及答案
时间:
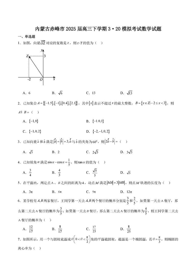
内蒙 数学试题
赤峰二模2025届高三下学期3·20模考数学考试已于近日开考,为方便考生考后及时查看考试情况,查漏补缺、弥补不足,本文整理了试题答案解析相关信息!
汇总:赤峰二模2025届高三下学期3·20模拟考试试题及答案汇总
数学试题及答案解析
赤峰二模2025届高三下学期3·20模考数学考试已于近日开考,为方便考生考后及时查看考试情况,查漏补缺、弥补不足,本文整理了试题答案解析相关信息!
汇总:赤峰二模2025届高三下学期3·20模拟考试试题及答案汇总
数学试题及答案解析