千亿 >安徽高考 >安徽高考试题 >安徽数学试题 >

蚌埠市2025届高三第二次教学质检数学试题及答案

时间: 安徽 数学试题

蚌埠市2025届高三第二次教学质检数学考试已于近日开考,为方便考生考后及时查看考试情况,查漏补缺、弥补不足,本文整理了试题答案解析相关信息!

汇总:蚌埠市2025届高三第二次教学质量检查试题及答案汇总

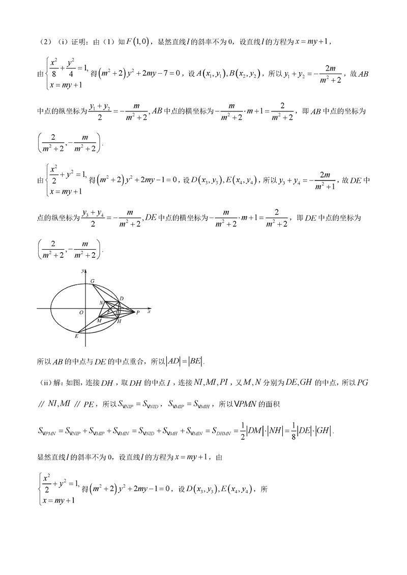
数学试题及答案解析