千亿 >浙江高考 >浙江高考试题 >浙江数学试题 >

浙江精诚联盟2025高三5月适应性联考数学试题及答案

时间: 浙江 数学试题

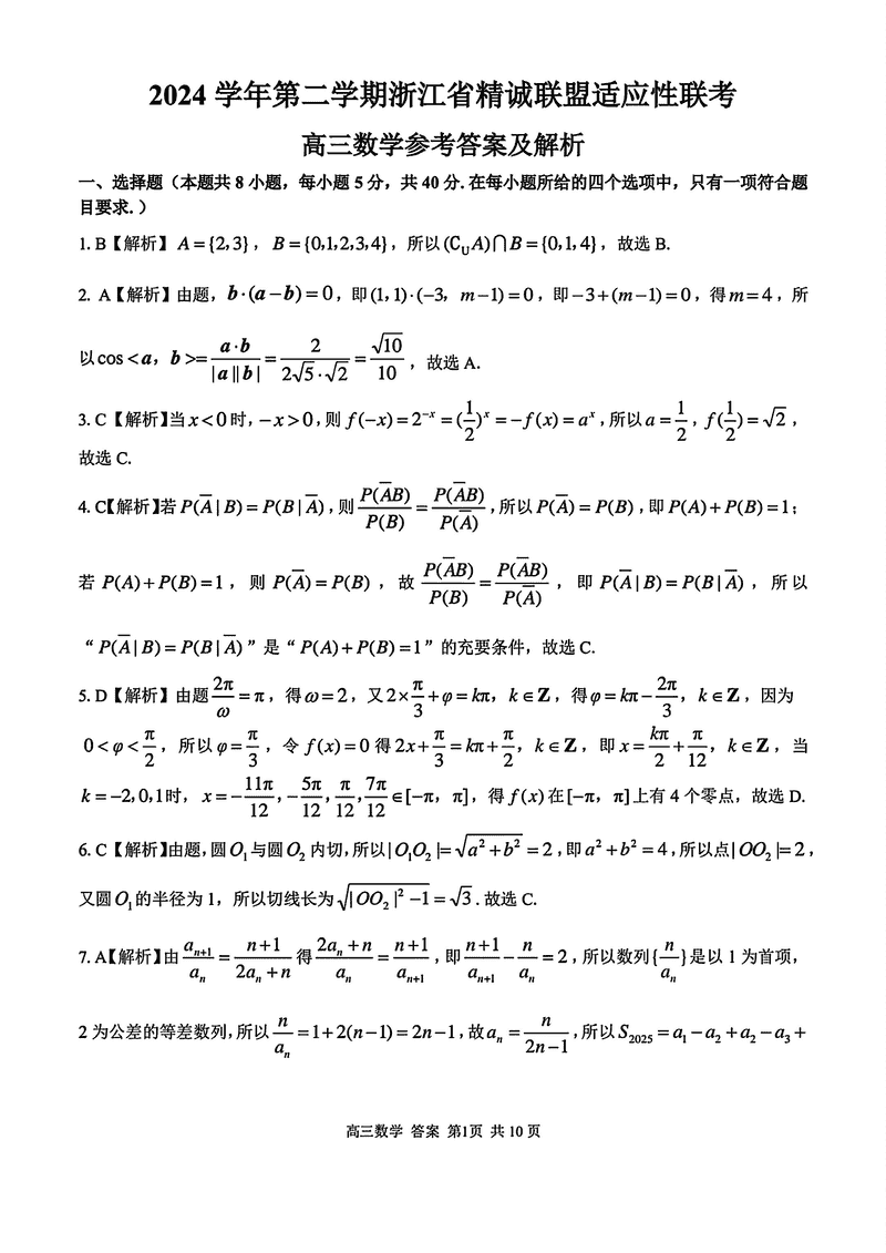
浙江精诚联盟2025高三5月适应性联考数学考试已于近日开考,为方便考生考后及时查看考试情况,查漏补缺、弥补不足,本文整理了试题答案解析相关信息!

汇总:2025浙江精诚联盟高三下学期适应性联考试题及答案汇总

数学试题及答案解析