千亿 >北京高考 >北京高考资讯 >北京成绩查询 >

2025北京市一分一段表最新出炉 高考成绩分布表

时间: 北京 成绩查询

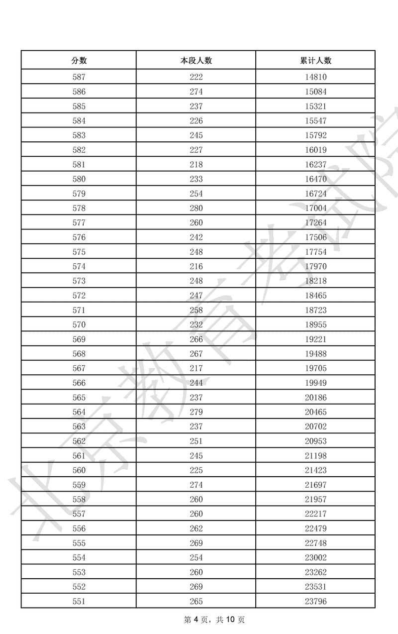
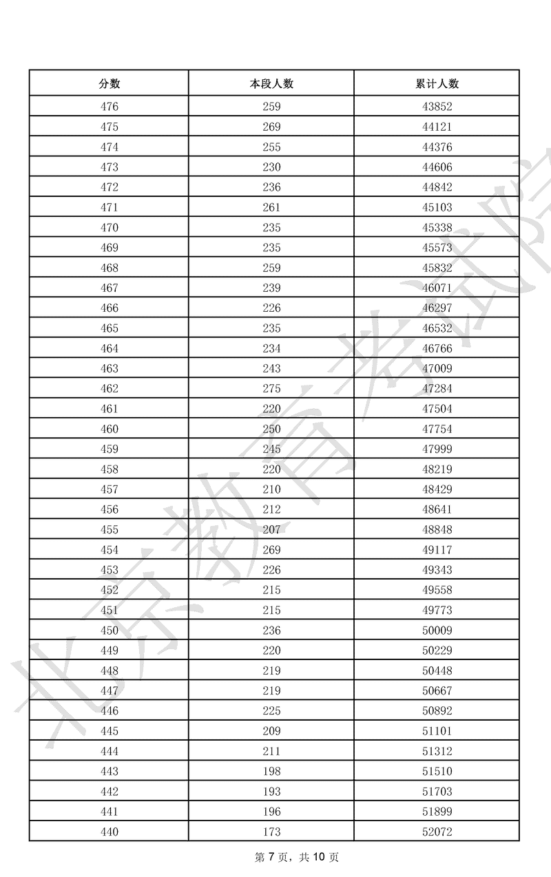
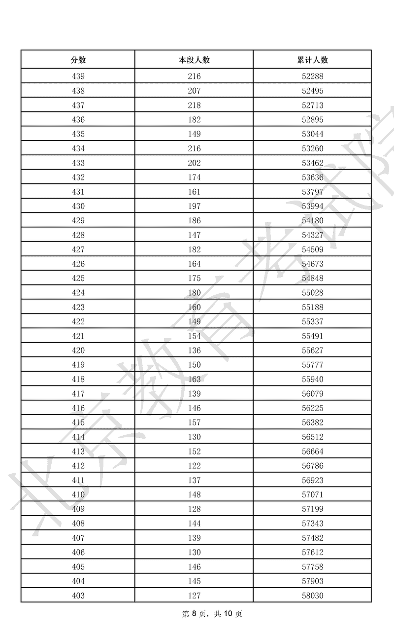
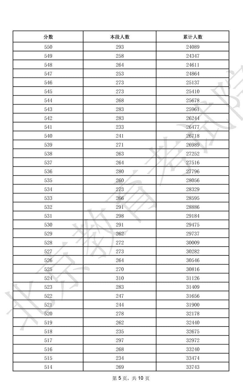
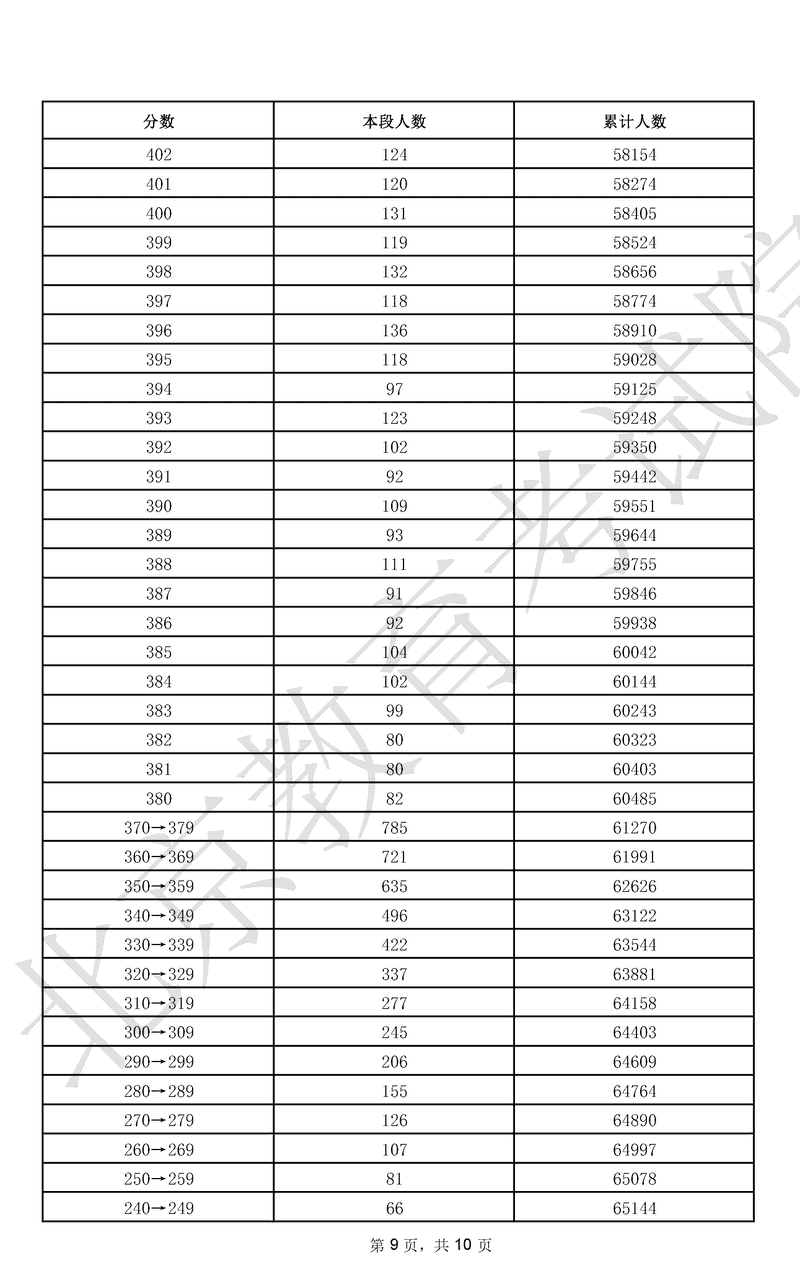
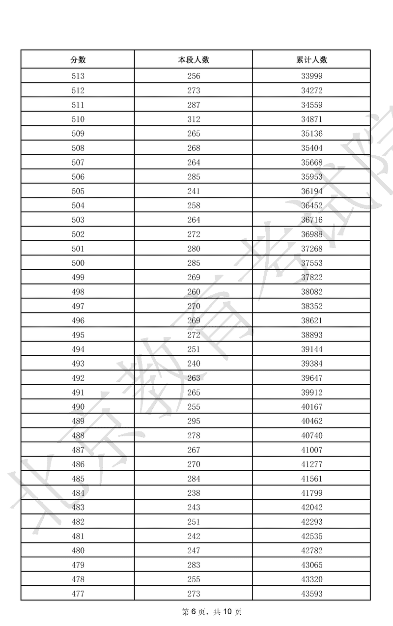
2025北京市高考一分一段表已经公布,其中696分累计人数148人;693分累计人数201人;692分累计人数228人;688分累计人数340人;685分累计人数361人。以下是小编整理的详细内容,大家可以看一看。

2025北京市高考一分一段表最新公布

2025北京市高考一分一段表如下:

高考一分一段表如何正确使用

高考一分一段表是一种统计每个分数段考生人数和累计人数的方法,考生可以根据自己的高考成绩与当年“一本”线的分数差值来参考。

例如,考生可以根据自己的高考成绩与当年“一本”线的分数差值来参考。假如去年超过“一本”线 100 分可以上某所学校,而今年自己的分数超过一本线超过 100 分,那么报考这所学校被录取的可能性就较大。如果成绩处于某个分数段过于集中,考生在填报志愿时就要注意各院校、各专业的志愿填报梯度。

查看自己的目标学校往年录取线在当年一分一段表中的位置,与自己的位置进行对比。同时,要综合考虑目标学校近 3 年的投档分数线、在全省的排位以及省内招生计划的变化情况。

高考一分一段表怎么换算位次

在使用一分一段表时,应该对比近三年来的“一分一段”表,而不是单一使用某一年的一分一段表。看看所想要填报的大学连续三四年的最低录取分数线在哪个段位(即高出所在批次多少分),若自己的分数比至少两年的段位高,那报考该校把握较大。

考生在对照高校往年录取分数线时,应以对比人数位次为主,若所在位次高于往年该校在本省录取分数位次,则说明报考有希望。

以考生位次为4462为例,假如某所大学的历年招生位次区间是4000-10000,那么考生的位次处于这所大学位次区间的上部,这所大学可以作为保底院校。

假如某所大学的历年招生位次区间是2000-8000,那么考生的位次处于这所大学位次区间的中间,这所大学可以作为比较稳妥的院校填报。

假如某所大学的历年招生位次区间是1000-5000,那么考生的位次处于这所大学位次区间的下部,这所大学的录取可能性就比较低了,可以作为冲一冲的院校填报,当然也可以冲刺大学招生最低位次在4000左右的院校。