千亿 >湖南高考 >湖南高考资讯 >湖南成绩查询 >

湖南高考物理类一分一段表公布 2025高考成绩位次排名查询

时间: 湖南 成绩查询

高考一分一段表是高考成绩统计的重要工具,一分一段表通过将考生的分数从高到低排列,并以1分为单位进行统计,能够清晰地显示每个分数段内的考生人数和累计人数。小编整理了2025年湖南高考物理类一分一段表汇总,大家一起看一下!

2025湖南高考物理类一分一段表最新整理

一分一段表能看到考生的高考成绩在全省考生中的位次,考生可以通过查询自己的位次,参考往年各院校及专业的录取位次选择报考的院校及专业,这样被录取的机会很大的。

什么是高考一分一段表

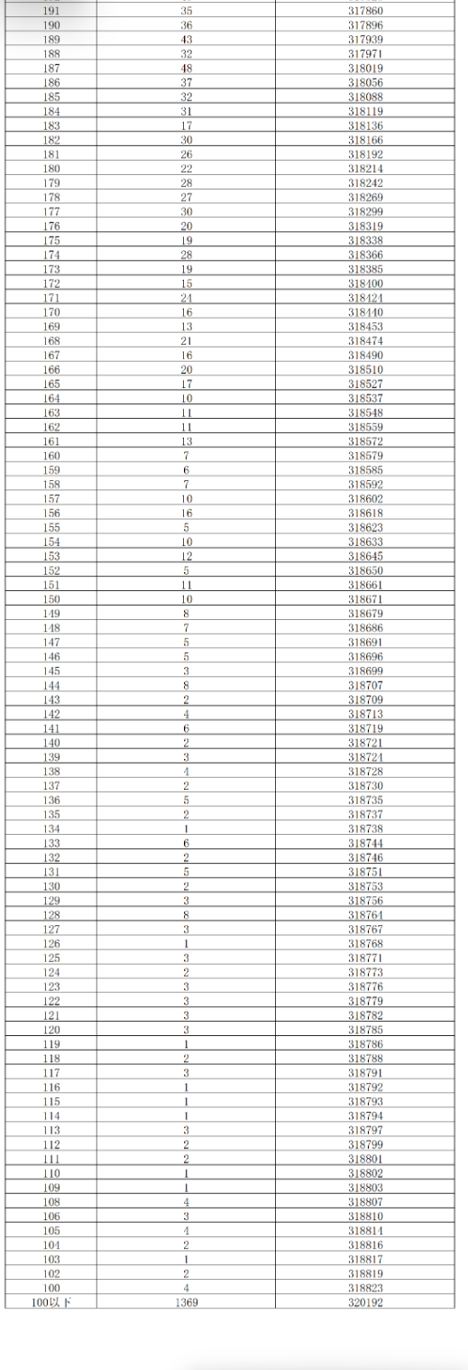
高考一分一段表是各省教育考试院在高考成绩公布后,为了帮助考生了解自己的成绩在全省的排名情况而发布的统计表格。该表以“1分”为单位,统计每个分数段内的考生人数和累计人数,从而帮助考生确定自己的位次和全省排名。通过一分一段表,考生可以清晰地看到自己在全省考生中的位置,这对于科学填报志愿至关重要。

具体来说,一分一段表包含三个核心数据:分数、本分人数和累计人数。其中,分数指的是某个具体的分数,如600分;本分人数是指该分数对应的考生总数,例如600分有800人;累计人数则是指达到或超过该分数的考生总数,如600分累计5000人,意味着该考生在全省排名第5000名。

一分一段表的使用方法包括查询省教育考试院官网、高中学校通知等渠道。考生可以通过该表了解自己的分数在全省的排名,从而更科学地选择学校和专业。此外,考生还可以通过对比历年一分一段表,了解自己在全省的竞争情况,结合实际情况,做出更合理的志愿选择。

高考一分一段表怎么用

在“一分一段表”中查找与自己成绩相对应的分数排名和这一位次成绩共有多少考生,以确定个人成绩在全省的位置。

对比一下近三年来的“一分一段”表,看看所想要填报的大学连续三四年的校线在哪个段位,若自己的分数比至少两年的段位高,那报考该校把握较大。

如果成绩所在的某一分数段上其他考生过于集中,那么在填报志愿时就应注意保持各院校、各专业的志愿填报梯度,根据实际情况,每所院校有不同分值的专业级差,填报时应考虑到这些因素。