千亿> >高考复习 >高中数学 >

16个基本求导公式是什么

时间: 高中数学

不是所有的函数都有导数,一个函数也不一定在所有的点上都有导数。若某函数在某一点导数存在,则称其在这一点可导,否则称为不可导。然而,可导的函数一定连续;不连续的函数一定不可导。

求导公式

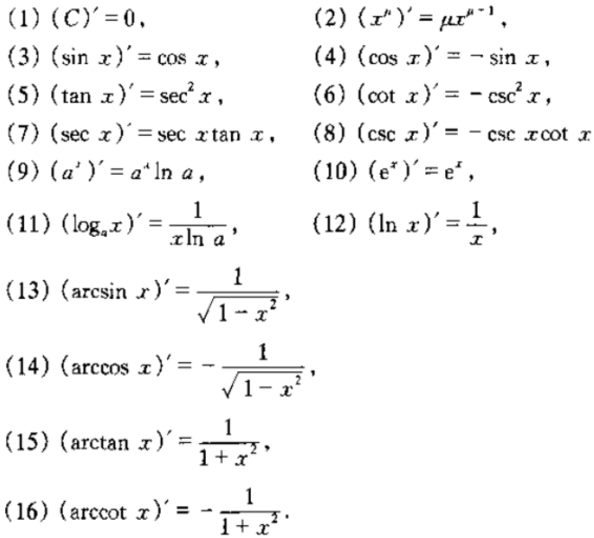
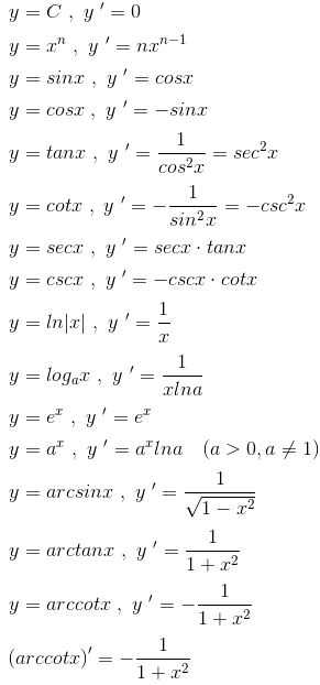
16个基本求导公式