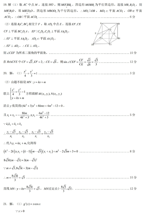
2020新课标高考理科数学模拟试题及答案解析 时间:2020-04-28 10:17 数学试题 2020高考数学模拟试题 球速在线官网 | 乐动官方网页版 | 拼搏在线平台(中国)官网 | 易游手机站·官方版在线 | 米乐手机站·官方版在线 | 万搏线上平台 | 球友会·体育 | IM官方网页版 | 千亿手机站·官方版在线 |