2020广西高考理科数学试题及答案解析【word精校版】
时间:
数学试题
2020广西高考理科数学答案解析
选择题
1.C 2.D 3.B 4.C 5.B 6.D 7.A 8.C 9.D 10.D 11.A 12.A
填空题
13.7
14、240
15、(√2/3)π
16、②③
简答题
17.
18.
19.
20.
21.
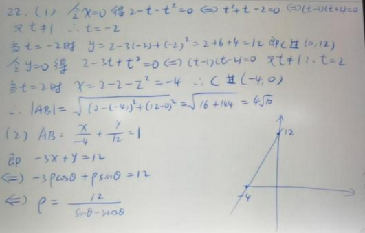
22.
23.
2020高考理科数学试题
以上答案解析来源:百度文库,仅供参考。
球速在线官网 | 乐动官方网页版 | 拼搏在线平台(中国)官网 | 易游手机站·官方版在线 | 米乐手机站·官方版在线 | 万搏线上平台 | 球友会·体育 | IM官方网页版 | 千亿手机站·官方版在线 |