2020年福建高考理科数学试题及答案解析
时间:
数学试题
2020全国1卷高考理科数学试题及答案解析【word精校版】
2020全国1卷高考理科数学答案解析
选择题
1.D 2.B 3.C 4.C 5.D 6.B 7.C 8.C 9.A 10.A 11.D 12.B
填空题
13.1
14.√3
15.2
16.- 1/4
简答题
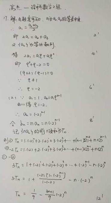
17.
18.
19.
20.
21.
22.
23.
以上答案解析来源:百度文库,仅供参考。
球速在线官网 | 乐动官方网页版 | 拼搏在线平台(中国)官网 | 易游手机站·官方版在线 | 米乐手机站·官方版在线 | 万搏线上平台 | 球友会·体育 | IM官方网页版 | 千亿手机站·官方版在线 |