千亿 >吉林高考 >吉林高考试题 >吉林数学试题 >

长春二模2025届高三质量监测(二)数学试题及答案

时间: 吉林 数学试题

长春二模2025届高三质量监测(二)数学考试已于近日开考,为方便考生考后及时查看考试情况,查漏补缺、弥补不足,本文整理了试题答案解析相关信息!

汇总:长春二模2025届高三质量监测(二)试题及答案汇总

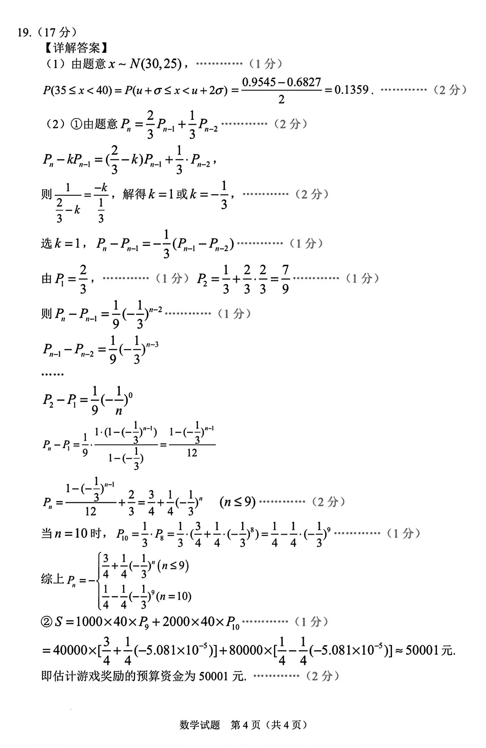
数学试题及答案解析