分数线
高考政策
高考新闻
高考时间
成绩查询
高考体检
录取查询
高考报名
高考状元
今日推荐
高考大纲
千亿
>
青海高考
>
青海高考资讯
>
青海成绩查询
>
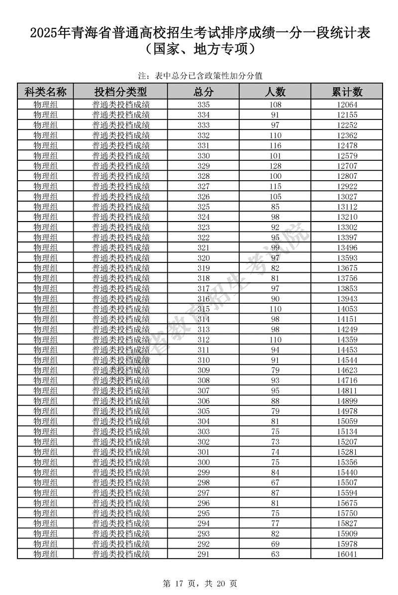
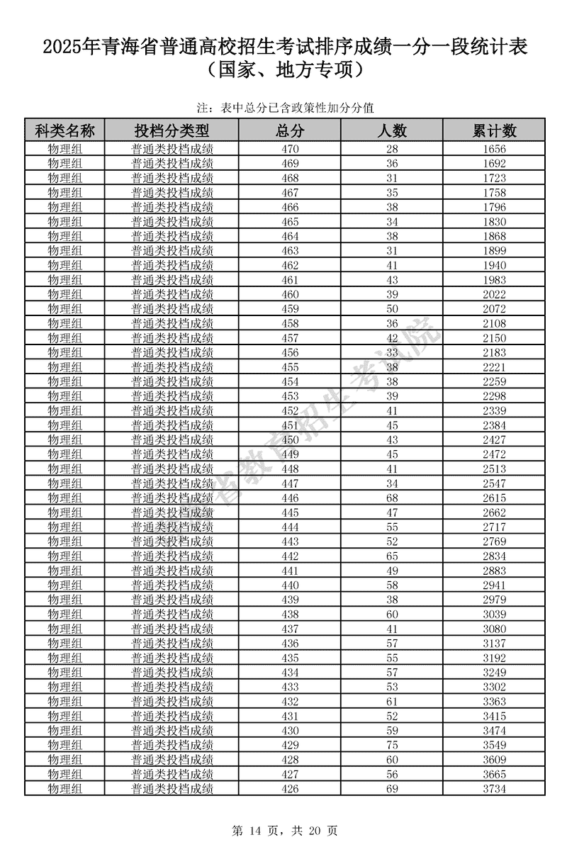
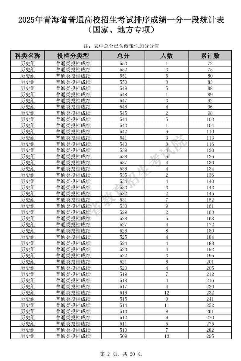
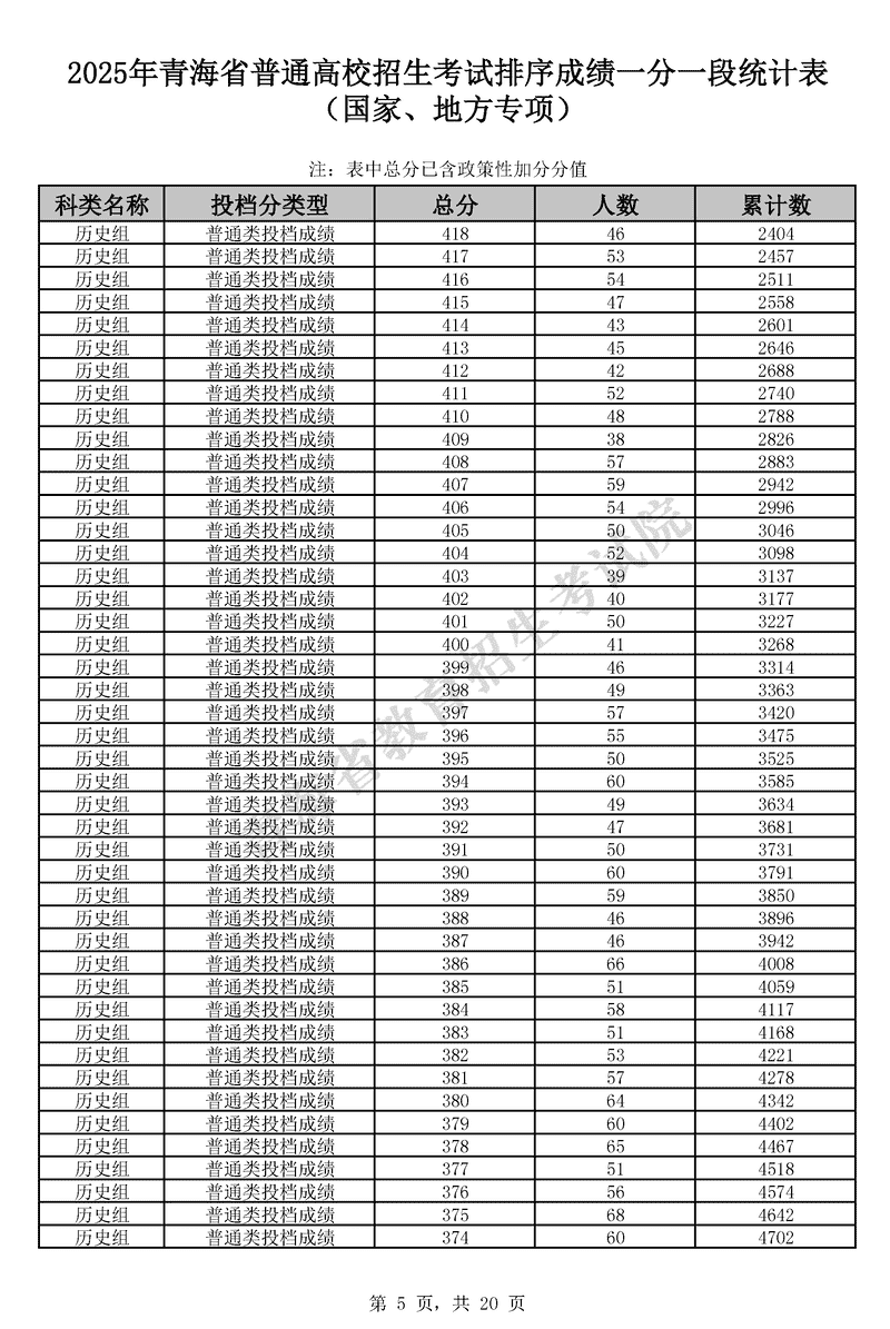
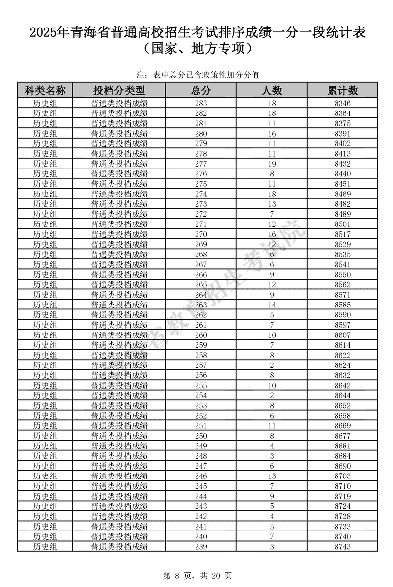
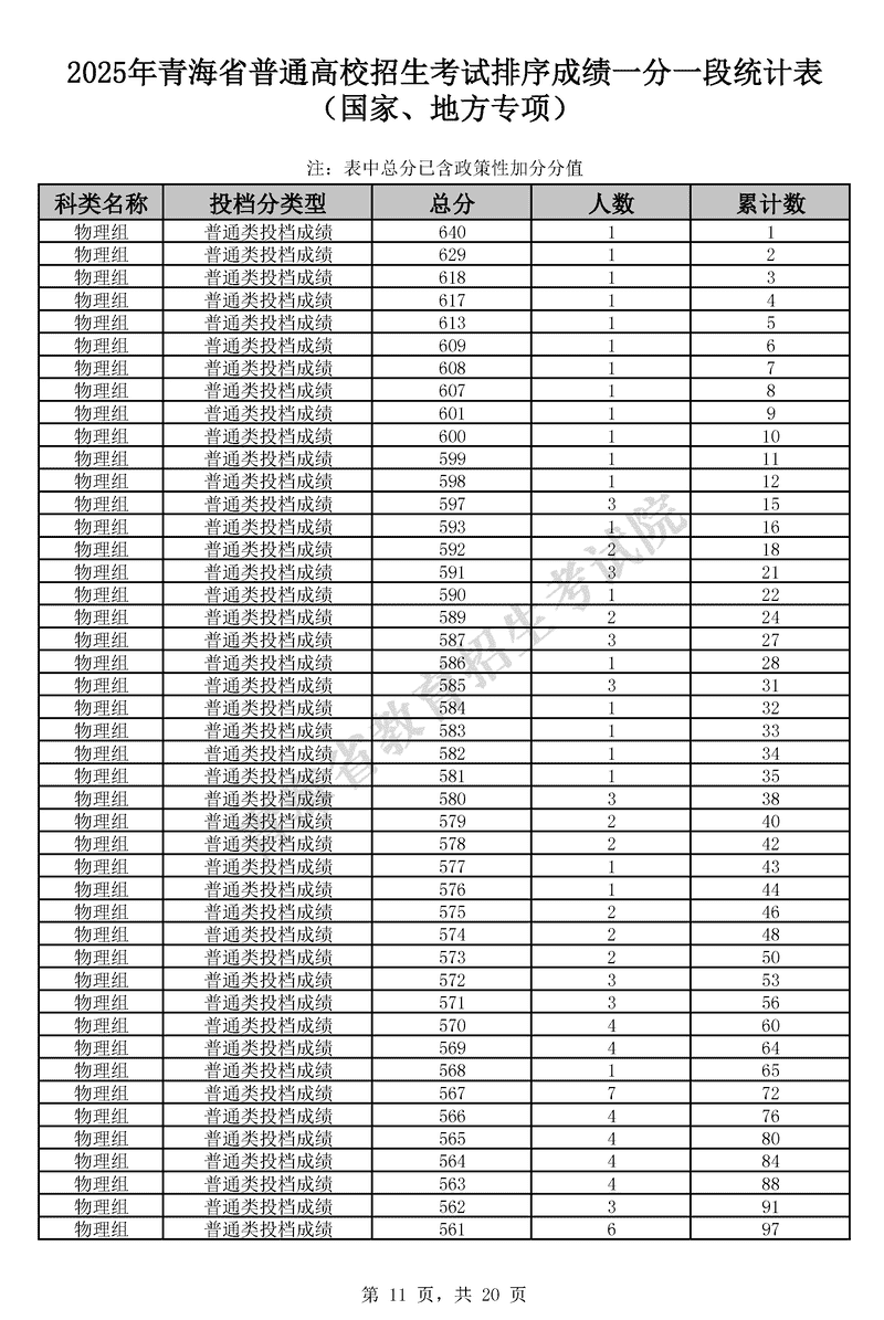
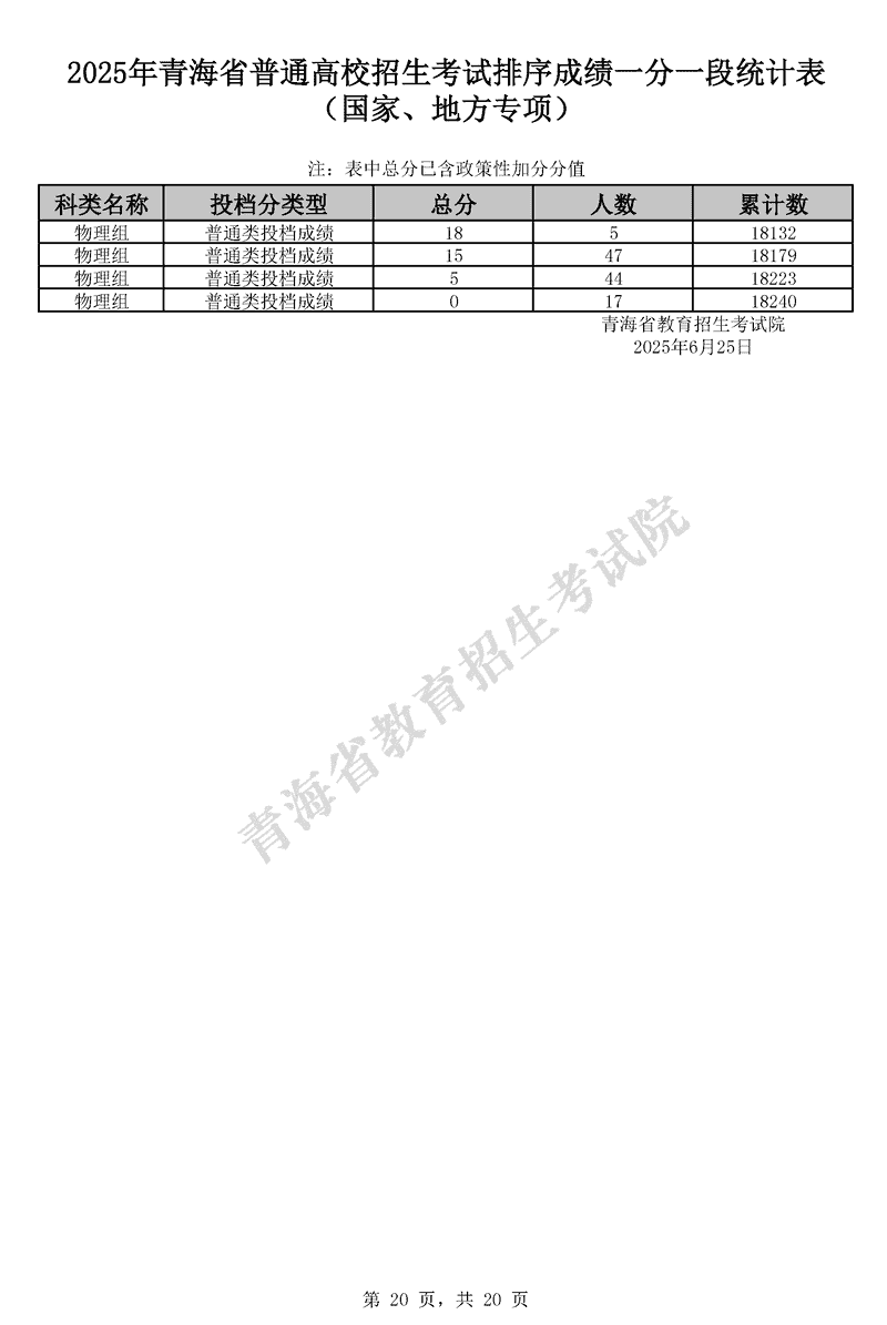
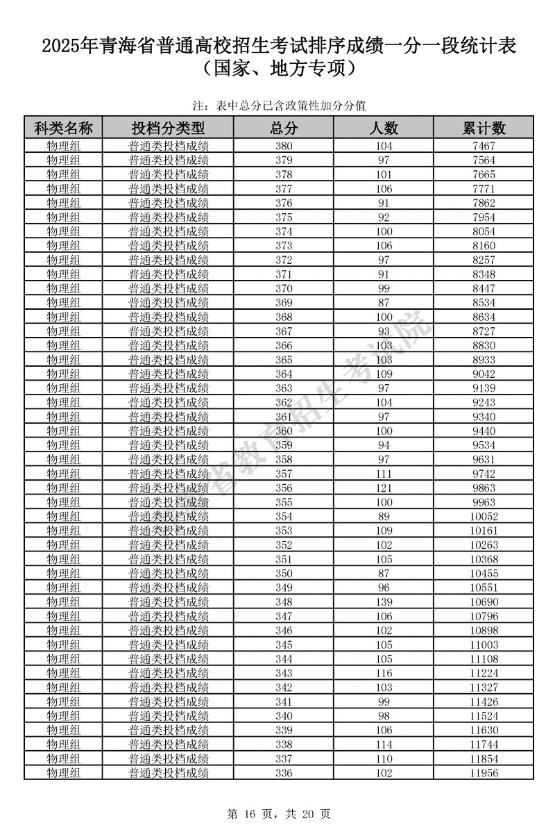
2025年青海高考排序成绩一分一段统计表(国家专项、地方专项)
时间:
2025-06-26
青海
成绩查询
2025年青海省普通高校招生考试排序成绩一分一段统计表
(国家专项、地方专项)
相关文章
2025年青海高考排序成绩一分一段统计表(艺术类)
2025青海高考历史类一分一段表出炉 最新位次排名
2025青海高考一分一段表最新出炉 历史类成绩分布表
青海2025年高考考生成绩分段表公布(历史类)
2025青海高考成绩一分一段表出炉 最新位次排名
2025青海高考什么时间出成绩 查分时间及网址入口
2025青海高考成绩查询时间及官网入口 什么时间公布分数
热门推荐
2022安徽高考成绩查询方式及官方系统入口网址:https://www.ahzsks.cn
06-16
2022河南高考成绩查询方式及官方系统入口网址:http://www.haeea.cn
06-16
2022湖北高考成绩查询方式及官方系统入口网址:http://www.hbea.edu.cn
06-16
4
2022贵州高考成绩查询方式及官方系统入口网址:http://zsksy.guizhou.gov.cn
5
2022陕西高考成绩查询方式及官方系统入口网址:http://www.sneea.cn
6
2022年广东省普通高校专升本考试成绩查询入口:https://www.eeagd.edu.cn/ptzsbks
7
2022浙江高考成绩查询方式及官方系统入口网址:https://www.zjzs.net
8
2022山东高考成绩查询方式及官方系统入口网址:http://www.sdzk.cn
9
2022江苏高考成绩查询方式及官方系统入口:https://www.jseea.cn
10
2022广东高考成绩查询方式及官方系统入口网址:https://eea.gd.gov.cn
最新文章
浙江多所高校预估线出炉!多少分能上浙大
河南43万余名考生过本科线,多所院校公布预估录取位次
湖北酿酒技术专业各大学录取分数线:最低312分及对应位次
2025年上饶卫生健康职业学院在上海招生代码及专业代码是多少?如何查询?
2025年景德镇陶瓷职业技术学院在河北招生代码:1262 专业代码及报考指南
内蒙古广播电视学专业各大学录取分数线:最低364分及对应位次
四川广播电视学专业各大学录取分数线:最低465分及对应位次
辽宁铁道机车车辆制造与维护专业各大学录取分数线:最低415分及对应位次
吉林医学信息工程专业各大学录取分数线:最低387分及对应位次
湖南城乡规划专业各大学录取分数线:最低343分及对应位次
2025年遵义医科大学医学与科技学院在山东招生代码及专业代码是多少?如何查询?
赢博在线手机版(大中国区)
|
千亿买球
|
新利网上注册首页(中国)官方网站
|
AK手机网
|
天行在线平台(中国)官网
|
三亿平台客服
|
FH手机版登录入口
|
好博在线注册
|
大发
|