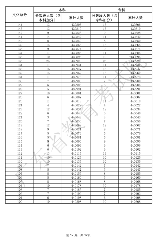
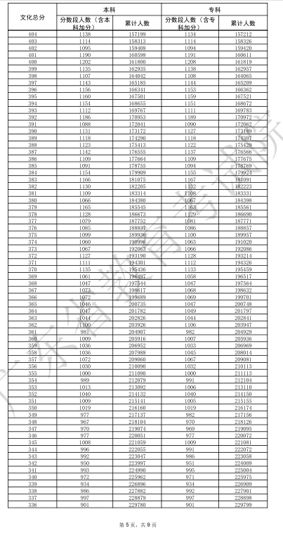
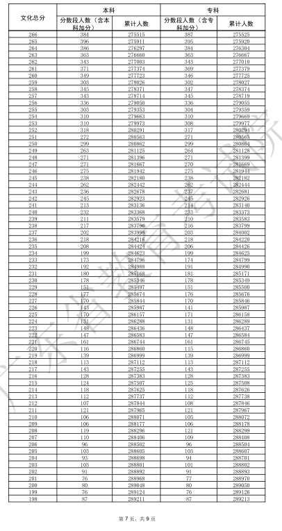
2025广东高考一分一段表汇总 成绩排名位次
2025年广东高考一分一段表出炉。一分一段表可以帮助考生明确自己在本省市的排名情况,了解自己与同分考生的竞争位置。小编在下文整理了2025年广东高考一分一段成绩排名表,供各位高考生参考。

2025广东高考一分一段表汇总【物理类+历史类】
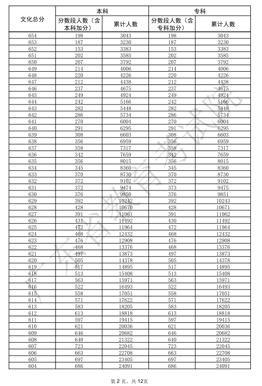
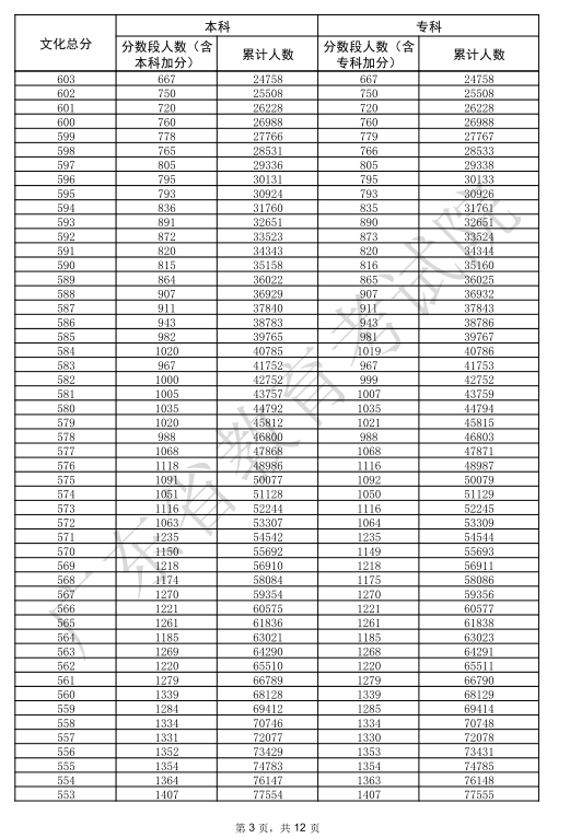
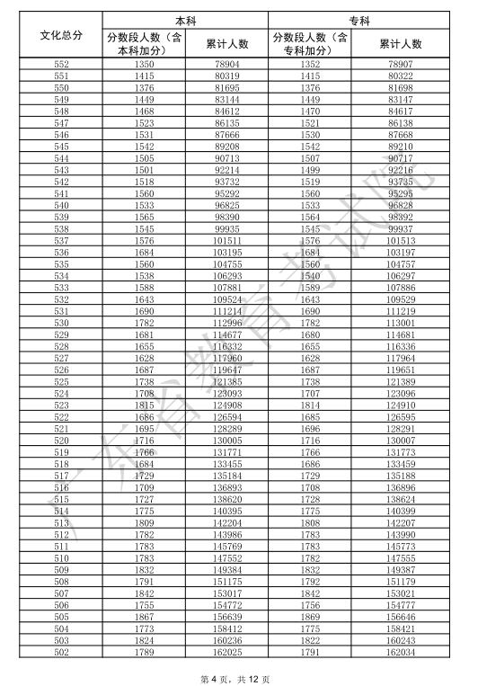
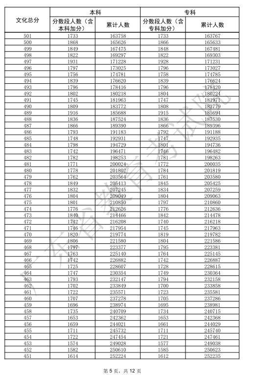
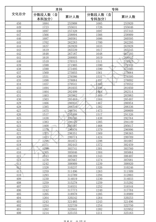
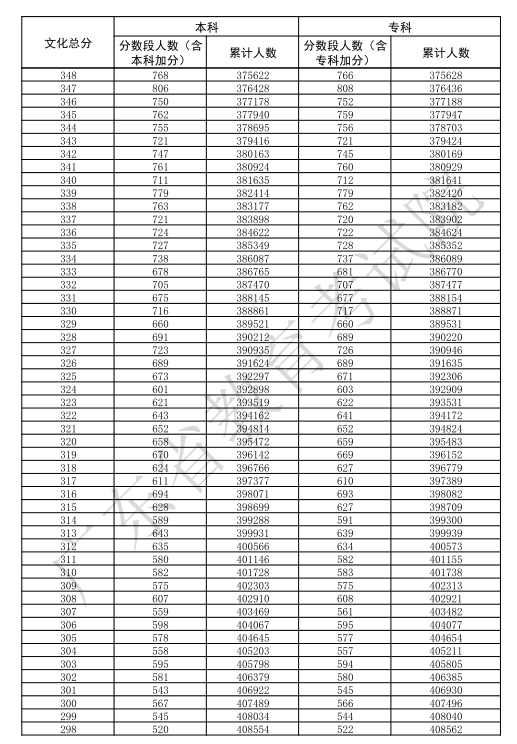
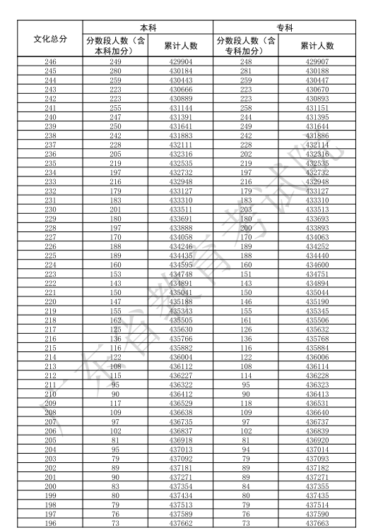
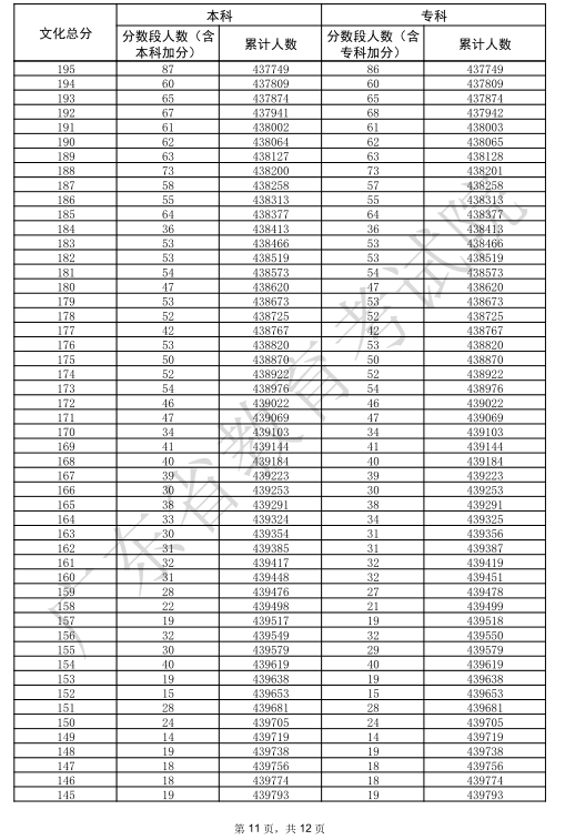
高考一分一段表是高考志愿报考的重要参考依据,一分一段表一般是指中、高考人数和分数的统计表。通过一分一段表可以知道,本省市所有考生,在某一分数上,同分值的人数有多少,还有就是截止到某分数值,一共累计有多少人。
2025广东高考物理类一分一段整理:












2025广东高考历史类一分一段整理:









广东高考一分一段表怎么使用
广东高考的一分一段表是考生在填报志愿时非常重要的参考资料,其主要作用是帮助考生了解自己在全省考生中的排名情况,并据此选择合适的院校和专业。以下是关于如何使用一分一段表的详细说明:
获取一分一段表:考生可以通过教育考试院网站或相关平台查询到最新的广东高考一分一段表。也可以通过一些志愿填报软件,如《千亿志愿》,来获取和分析一分一段表。
查找个人排名:在一分一段表中,考生首先需要找到自己所考科目的分数,并查看该分数对应的位次。例如,如果考生的分数为650分,那么他需要在表格中找到650分这一行,查看该分数对应的位次。
对比往年数据:为了更准确地评估自己的录取可能性,考生应结合近三年的一分一段表数据进行对比分析。这可以帮助考生了解自己在全省的相对位置,并判断自己是否符合目标院校往年的录取分数线。
评估目标院校:通过对比目标院校往年的录取分数线与自己的位次,考生可以判断自己被录取的可能性。如果自己的位次与目标院校的录取位次相近或略高,则被录取的可能性较大;反之,如果差距较大,则可能落选。
合理选择志愿:根据自己的位次和目标院校的录取情况,考生可以合理规划“冲、稳、保”策略,即选择一些位次要求略高于自己、与自己位次相当以及低于自己位次的目标院校和专业。



