千亿 >云南高考 >云南高考复习 >云南高中数学 >

云南省楚雄州2024-2025学年高二下学期期末数学试题及答案

时间: 云南 高中数学

云南省楚雄州2024-2025学年高二下学期期末教育学业质量监测数学考试已于近日开考,为方便考生考后及时查看考试情况,查漏补缺、弥补不足,本文整理了试题答案解析相关信息!

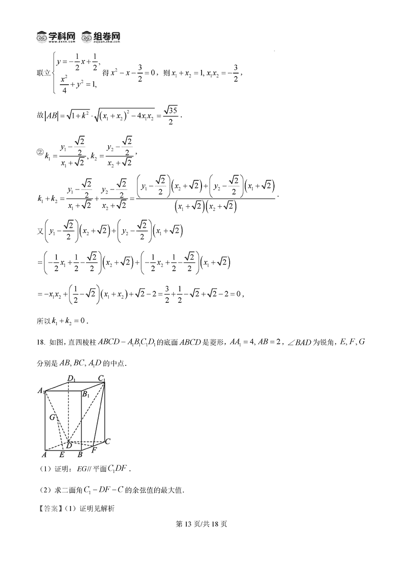
数学试题及答案解析