千亿 >陕西高考 >陕西高考试题 >陕西理综试题 >

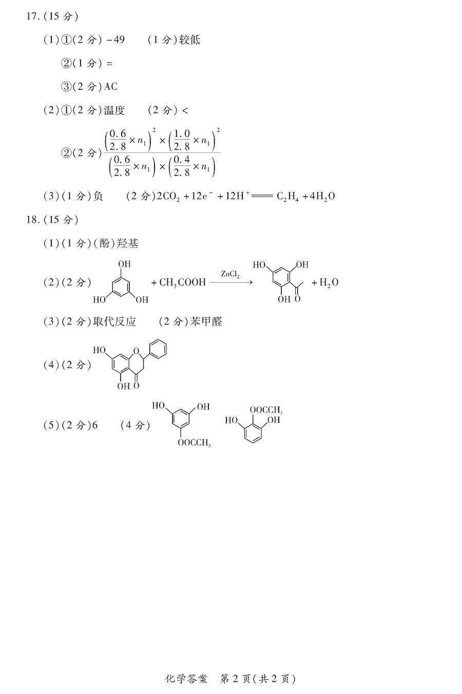
陕西省2025届高考适应性检测一化学试题及答案

时间: 陕西 理综试题

陕西省2025届高考适应性检测一化学考试已于近日开考,为方便考生考后及时查看考试情况,查漏补缺、弥补不足,本文整理了试题答案解析相关信息!

汇总:陕西省2025届高考适应性检测一试题及答案汇总

化学试题及答案解析