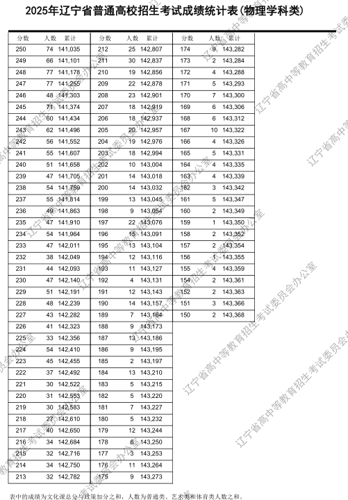
2025辽宁高考成绩物理类一分一段表出炉 最新位次排名
时间:
辽宁 成绩查询
高考的一分一段位次表主要为展示考生个人分数在省内的排名情况,对于2025年参加高考的考生而言,当高考成绩及一分一段表正式公布后,考生可依据自身位次,换算成前一年的对应分数。下面是小编整理的2025辽宁高考成绩物理类一分一段表,一起来看看吧!
2025辽宁高考成绩物理类一分一段表
2025辽宁物理类一分一段表:
一分一段表的作用是可以显示每一个分数全省考生有多少名,考生可以根据自己的分数对照一分段表,再参照往年各类学校各批次招生计划数,确定自己该如何填报志愿。
一分段表是将全省同科类(仅指普通高考文史理工类考生,不含艺术体育和职教师资、三校高职考生)考生的投档分(高考文考成绩总分+照顾加分,不含和志愿相关的志愿加分)从高到低排列(分数相同的则为并列),再按一分一段统计“本段人数”。
2024辽宁高考成绩物理类一分一段表
以下是为大家整理的2024辽宁高考成绩物理类一分一段表数据,大家可以参考。
分数 | 人数 | 位次 |
708及以上 | 11 | 11 |
707 | 5 | 16 |
706 | 9 | 25 |
705 | 5 | 30 |
704 | 2 | 32 |
703 | 10 | 42 |
702 | 5 | 47 |
701 | 5 | 52 |
700 | 13 | 65 |
699 | 13 | 78 |
698 | 20 | 98 |
697 | 16 | 114 |
696 | 20 | 134 |
695 | 15 | 149 |
694 | 17 | 166 |
693 | 17 | 183 |
692 | 29 | 212 |
691 | 24 | 236 |
690 | 28 | 264 |
689 | 25 | 289 |
688 | 27 | 316 |
687 | 37 | 353 |
686 | 36 | 389 |
685 | 53 | 442 |
684 | 35 | 477 |
683 | 47 | 524 |
682 | 45 | 569 |
681 | 40 | 609 |
680 | 45 | 654 |
679 | 46 | 700 |
678 | 48 | 748 |
677 | 83 | 831 |
676 | 66 | 897 |
675 | 57 | 954 |
674 | 60 | 1014 |
673 | 76 | 1090 |
672 | 68 | 1158 |
671 | 79 | 1237 |
670 | 79 | 1316 |
669 | 87 | 1403 |
668 | 70 | 1473 |
667 | 112 | 1585 |
666 | 90 | 1675 |
665 | 89 | 1764 |
664 | 114 | 1878 |
663 | 108 | 1986 |
662 | 82 | 2068 |
661 | 85 | 2153 |
660 | 101 | 2254 |
659 | 100 | 2354 |
658 | 114 | 2468 |
657 | 138 | 2606 |
656 | 127 | 2733 |
655 | 127 | 2860 |
654 | 141 | 3001 |
653 | 131 | 3132 |
652 | 153 | 3285 |
651 | 143 | 3428 |
650 | 133 | 3561 |
649 | 150 | 3711 |
648 | 169 | 3880 |
647 | 178 | 4058 |
646 | 151 | 4209 |
645 | 177 | 4386 |
644 | 149 | 4535 |
643 | 186 | 4721 |
642 | 176 | 4897 |
641 | 184 | 5081 |
640 | 192 | 5273 |
639 | 181 | 5454 |
638 | 175 | 5629 |
637 | 176 | 5805 |
636 | 201 | 6006 |
635 | 178 | 6184 |
634 | 178 | 6362 |
633 | 210 | 6572 |
632 | 198 | 6770 |
631 | 222 | 6992 |
630 | 179 | 7171 |
629 | 201 | 7372 |
628 | 192 | 7564 |
627 | 199 | 7763 |
626 | 239 | 8002 |
625 | 241 | 8243 |
624 | 223 | 8466 |
623 | 231 | 8697 |
622 | 231 | 8928 |
621 | 208 | 9136 |
620 | 247 | 9383 |
619 | 232 | 9615 |
618 | 240 | 9855 |
617 | 245 | 10100 |
616 | 269 | 10369 |
615 | 270 | 10639 |
614 | 252 | 10891 |
613 | 231 | 11122 |
612 | 289 | 11411 |
611 | 266 | 11677 |
610 | 242 | 11919 |
609 | 271 | 12190 |
608 | 271 | 12461 |
607 | 270 | 12731 |
606 | 259 | 12990 |
605 | 250 | 13240 |
604 | 284 | 13524 |
603 | 290 | 13814 |
602 | 268 | 14082 |
601 | 270 | 14352 |
600 | 260 | 14612 |
599 | 267 | 14879 |
598 | 279 | 15158 |
597 | 296 | 15454 |
596 | 315 | 15769 |
595 | 299 | 16068 |
594 | 261 | 16329 |
593 | 277 | 16606 |
592 | 322 | 16928 |
591 | 330 | 17258 |
590 | 296 | 17554 |
589 | 300 | 17854 |
588 | 343 | 18197 |
587 | 307 | 18504 |
586 | 326 | 18830 |
585 | 296 | 19126 |
584 | 340 | 19466 |
583 | 316 | 19782 |
582 | 326 | 20108 |
581 | 329 | 20437 |
580 | 361 | 20798 |
579 | 321 | 21119 |
578 | 331 | 21450 |
577 | 346 | 21796 |
576 | 304 | 22100 |
575 | 353 | 22453 |
574 | 364 | 22817 |
573 | 382 | 23199 |
572 | 318 | 23517 |
571 | 300 | 23817 |
570 | 367 | 24184 |
569 | 337 | 24521 |
568 | 309 | 24830 |
567 | 357 | 25187 |
566 | 341 | 25528 |
565 | 365 | 25893 |
564 | 331 | 26224 |
563 | 362 | 26586 |
562 | 349 | 26935 |
561 | 389 | 27324 |
560 | 372 | 27696 |
559 | 356 | 28052 |
558 | 373 | 28425 |
557 | 368 | 28793 |
556 | 377 | 29170 |
555 | 372 | 29542 |
554 | 391 | 29933 |
553 | 404 | 30337 |
552 | 399 | 30736 |
551 | 379 | 31115 |
550 | 403 | 31518 |
549 | 402 | 31920 |
548 | 364 | 32284 |
547 | 375 | 32659 |
546 | 396 | 33055 |
545 | 406 | 33461 |
544 | 412 | 33873 |
543 | 414 | 34287 |
542 | 426 | 34713 |
541 | 418 | 35131 |
540 | 407 | 35538 |
539 | 411 | 35949 |
538 | 423 | 36372 |
537 | 394 | 36766 |
536 | 468 | 37234 |
535 | 435 | 37669 |
534 | 426 | 38095 |
533 | 481 | 38576 |
532 | 418 | 38994 |
531 | 389 | 39383 |
530 | 422 | 39805 |
529 | 383 | 40188 |
528 | 413 | 40601 |
527 | 389 | 40990 |
526 | 418 | 41408 |
525 | 395 | 41803 |
524 | 399 | 42202 |
523 | 451 | 42653 |
522 | 413 | 43066 |
521 | 403 | 43469 |
520 | 424 | 43893 |
519 | 460 | 44353 |
518 | 465 | 44818 |
517 | 458 | 45276 |
516 | 438 | 45714 |
515 | 460 | 46174 |
514 | 475 | 46649 |
513 | 443 | 47092 |
512 | 441 | 47533 |
511 | 435 | 47968 |
510 | 447 | 48415 |
509 | 461 | 48876 |
508 | 457 | 49333 |
507 | 436 | 49769 |
506 | 484 | 50253 |
505 | 447 | 50700 |
504 | 494 | 51194 |
503 | 454 | 51648 |
502 | 465 | 52113 |
501 | 446 | 52559 |
500 | 485 | 53044 |
499 | 500 | 53544 |
498 | 461 | 54005 |
497 | 510 | 54515 |
496 | 456 | 54971 |
495 | 472 | 55443 |
494 | 474 | 55917 |
493 | 485 | 56402 |
492 | 466 | 56868 |
491 | 464 | 57332 |
490 | 474 | 57806 |
489 | 481 | 58287 |
488 | 460 | 58747 |
487 | 486 | 59233 |
486 | 463 | 59696 |
485 | 464 | 60160 |
484 | 526 | 60686 |
483 | 476 | 61162 |
482 | 462 | 61624 |
481 | 472 | 62096 |
480 | 475 | 62571 |
479 | 492 | 63063 |
478 | 456 | 63519 |
477 | 504 | 64023 |
476 | 521 | 64544 |
475 | 471 | 65015 |
474 | 483 | 65498 |
473 | 527 | 66025 |
472 | 501 | 66526 |
471 | 496 | 67022 |
470 | 489 | 67511 |
469 | 475 | 67986 |
468 | 482 | 68468 |
467 | 469 | 68937 |
466 | 469 | 69406 |
465 | 470 | 69876 |
464 | 473 | 70349 |
463 | 502 | 70851 |
462 | 499 | 71350 |
461 | 525 | 71875 |
460 | 472 | 72347 |
459 | 479 | 72826 |
458 | 503 | 73329 |
457 | 518 | 73847 |
456 | 531 | 74378 |
455 | 518 | 74896 |
454 | 495 | 75391 |
453 | 520 | 75911 |
452 | 490 | 76401 |
451 | 491 | 76892 |
450 | 471 | 77363 |
449 | 503 | 77866 |
448 | 524 | 78390 |
447 | 481 | 78871 |
446 | 519 | 79390 |
445 | 506 | 79896 |
444 | 501 | 80397 |
443 | 478 | 80875 |
442 | 476 | 81351 |
441 | 507 | 81858 |
440 | 479 | 82337 |
439 | 475 | 82812 |
438 | 543 | 83355 |
437 | 480 | 83835 |
436 | 522 | 84357 |
435 | 483 | 84840 |
434 | 510 | 85350 |
433 | 506 | 85856 |
432 | 480 | 86336 |
431 | 514 | 86850 |
430 | 507 | 87357 |
429 | 520 | 87877 |
428 | 499 | 88376 |
427 | 518 | 88894 |
426 | 503 | 89397 |
425 | 481 | 89878 |
424 | 515 | 90393 |
423 | 490 | 90883 |
422 | 504 | 91387 |
421 | 485 | 91872 |
420 | 486 | 92358 |
419 | 463 | 92821 |
418 | 514 | 93335 |
417 | 484 | 93819 |
416 | 464 | 94283 |
415 | 479 | 94762 |
414 | 521 | 95283 |
413 | 457 | 95740 |
412 | 533 | 96273 |
411 | 466 | 96739 |
410 | 479 | 97218 |
409 | 502 | 97720 |
408 | 485 | 98205 |
407 | 431 | 98636 |
406 | 484 | 99120 |
405 | 431 | 99551 |
404 | 463 | 100014 |
403 | 480 | 100494 |
402 | 455 | 100949 |
401 | 509 | 101458 |
400 | 479 | 101937 |
399 | 503 | 102440 |
398 | 447 | 102887 |
397 | 484 | 103371 |
396 | 447 | 103818 |
395 | 470 | 104288 |
394 | 451 | 104739 |
393 | 466 | 105205 |
392 | 454 | 105659 |
391 | 466 | 106125 |
390 | 460 | 106585 |
389 | 453 | 107038 |
388 | 439 | 107477 |
387 | 426 | 107903 |
386 | 460 | 108363 |
385 | 414 | 108777 |
384 | 447 | 109224 |
383 | 447 | 109671 |
382 | 448 | 110119 |
381 | 411 | 110530 |
380 | 498 | 111028 |
379 | 427 | 111455 |
378 | 447 | 111902 |
377 | 449 | 112351 |
376 | 435 | 112786 |
375 | 429 | 113215 |
374 | 444 | 113659 |
373 | 443 | 114102 |
372 | 463 | 114565 |
371 | 427 | 114992 |
370 | 405 | 115397 |
369 | 399 | 115796 |
368 | 402 | 116198 |
367 | 431 | 116629 |
366 | 419 | 117048 |
365 | 406 | 117454 |
364 | 404 | 117858 |
363 | 401 | 118259 |
362 | 394 | 118653 |
361 | 400 | 119053 |
360 | 414 | 119467 |
359 | 409 | 119876 |
358 | 403 | 120279 |
357 | 365 | 120644 |
356 | 388 | 121032 |
355 | 396 | 121428 |
354 | 378 | 121806 |
353 | 383 | 122189 |
352 | 401 | 122590 |
351 | 407 | 122997 |
350 | 362 | 123359 |
349 | 360 | 123719 |
348 | 381 | 124100 |
347 | 391 | 124491 |
346 | 377 | 124868 |
345 | 379 | 125247 |
344 | 370 | 125617 |
343 | 339 | 125956 |
342 | 376 | 126332 |
341 | 341 | 126673 |
340 | 355 | 127028 |
339 | 336 | 127364 |
338 | 363 | 127727 |
337 | 325 | 128052 |
336 | 351 | 128403 |
335 | 347 | 128750 |
334 | 288 | 129038 |
333 | 319 | 129357 |
332 | 320 | 129677 |
331 | 318 | 129995 |
330 | 349 | 130344 |
329 | 343 | 130687 |
328 | 358 | 131045 |
327 | 323 | 131368 |
326 | 300 | 131668 |
325 | 326 | 131994 |
324 | 265 | 132259 |
323 | 292 | 132551 |
322 | 333 | 132884 |
321 | 260 | 133144 |
320 | 295 | 133439 |
319 | 302 | 133741 |
318 | 276 | 134017 |
317 | 289 | 134306 |
316 | 274 | 134580 |
315 | 289 | 134869 |
314 | 266 | 135135 |
313 | 251 | 135386 |
312 | 278 | 135664 |
311 | 294 | 135958 |
310 | 263 | 136221 |
309 | 256 | 136477 |
308 | 250 | 136727 |
307 | 239 | 136966 |
306 | 257 | 137223 |
305 | 240 | 137463 |
304 | 219 | 137682 |
303 | 245 | 137927 |
302 | 238 | 138165 |
301 | 271 | 138436 |
300 | 239 | 138675 |
299 | 232 | 138907 |
298 | 236 | 139143 |
297 | 229 | 139372 |
296 | 216 | 139588 |
295 | 204 | 139792 |
294 | 179 | 139971 |
293 | 213 | 140184 |
292 | 214 | 140398 |
291 | 204 | 140602 |
290 | 198 | 140800 |
289 | 204 | 141004 |
288 | 186 | 141190 |
287 | 184 | 141374 |
286 | 201 | 141575 |
285 | 196 | 141771 |
284 | 197 | 141968 |
283 | 213 | 142181 |
282 | 196 | 142377 |
281 | 167 | 142544 |
280 | 155 | 142699 |
279 | 140 | 142839 |
278 | 167 | 143006 |
277 | 157 | 143163 |
276 | 153 | 143316 |
275 | 136 | 143452 |
274 | 169 | 143621 |
273 | 128 | 143749 |
272 | 167 | 143916 |
271 | 155 | 144071 |
270 | 148 | 144219 |
269 | 157 | 144376 |
268 | 134 | 144510 |
267 | 139 | 144649 |
266 | 132 | 144781 |
265 | 114 | 144895 |
264 | 142 | 145037 |
263 | 119 | 145156 |
262 | 113 | 145269 |
261 | 133 | 145402 |
260 | 122 | 145524 |
259 | 115 | 145639 |
258 | 114 | 145753 |
257 | 115 | 145868 |
256 | 108 | 145976 |
255 | 98 | 146074 |
254 | 113 | 146187 |
253 | 112 | 146299 |
252 | 86 | 146385 |
251 | 96 | 146481 |
250 | 102 | 146583 |
249 | 88 | 146671 |
248 | 100 | 146771 |
247 | 91 | 146862 |
246 | 89 | 146951 |
245 | 79 | 147030 |
244 | 90 | 147120 |
243 | 72 | 147192 |
242 | 78 | 147270 |
241 | 83 | 147353 |
240 | 54 | 147407 |
239 | 74 | 147481 |
238 | 81 | 147562 |
237 | 80 | 147642 |
236 | 68 | 147710 |
235 | 69 | 147779 |
234 | 74 | 147853 |
233 | 62 | 147915 |
232 | 70 | 147985 |
231 | 58 | 148043 |
230 | 60 | 148103 |
229 | 56 | 148159 |
228 | 62 | 148221 |
227 | 47 | 148268 |
226 | 40 | 148308 |
225 | 53 | 148361 |
224 | 41 | 148402 |
223 | 52 | 148454 |
222 | 50 | 148504 |
221 | 42 | 148546 |
220 | 53 | 148599 |
219 | 45 | 148644 |
218 | 35 | 148679 |
217 | 48 | 148727 |
216 | 35 | 148762 |
215 | 35 | 148797 |
214 | 33 | 148830 |
213 | 30 | 148860 |
212 | 36 | 148896 |
211 | 35 | 148931 |
210 | 33 | 148964 |
209 | 30 | 148994 |
208 | 23 | 149017 |
207 | 18 | 149035 |
206 | 33 | 149068 |
205 | 25 | 149093 |
204 | 28 | 149121 |
203 | 28 | 149149 |
202 | 27 | 149176 |
201 | 26 | 149202 |
200 | 18 | 149220 |
199 | 18 | 149238 |
198 | 21 | 149259 |
197 | 17 | 149276 |
196 | 15 | 149291 |
195 | 15 | 149306 |
194 | 17 | 149323 |
193 | 14 | 149337 |
192 | 10 | 149347 |
191 | 19 | 149366 |
190 | 10 | 149376 |
189 | 10 | 149386 |
188 | 17 | 149403 |
187 | 9 | 149412 |
186 | 16 | 149428 |
185 | 15 | 149443 |
184 | 9 | 149452 |
183 | 9 | 149461 |
182 | 10 | 149471 |
181 | 9 | 149480 |
180 | 17 | 149497 |
179 | 6 | 149503 |
178 | 7 | 149510 |
177 | 12 | 149522 |
176 | 8 | 149530 |
175 | 8 | 149538 |
174 | 6 | 149544 |
173 | 4 | 149548 |
172 | 4 | 149552 |
171 | 3 | 149555 |
170 | 5 | 149560 |
169 | 9 | 149569 |
168 | 5 | 149574 |
167 | 9 | 149583 |
166 | 10 | 149593 |
165 | 6 | 149599 |
164 | 4 | 149603 |
163 | 3 | 149606 |
162 | 6 | 149612 |
161 | 1 | 149613 |
160 | 2 | 149615 |
159 | 2 | 149617 |
158 | 5 | 149622 |
157 | 3 | 149625 |
156 | 4 | 149629 |
155 | 5 | 149634 |
154 | 2 | 149636 |
153 | 3 | 149639 |
152 | 3 | 149642 |
151 | 1 | 149643 |
150 | 2 | 149645 |