千亿 >辽宁高考 >辽宁高考资讯 >辽宁成绩查询 >

2025辽宁一分一段表最新出炉 高考成绩分布表【物理+历史】

时间: 辽宁 成绩查询

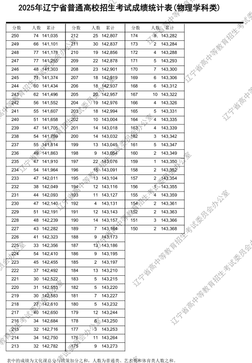
2025辽宁高考一分一段表已经公布:物理类707分以上的累计人数为11人,706分累计人数13人,704分累计人数19人,702分累计人数20人,700分累计人数29人,699分累计人数35人,历史类:663分累计人数22人,662分累计人数27人,661分累计人数29人,660分累计人数30人,659分累计人数40人。

2025辽宁高考一分一段表

2025辽宁物理类一分一段表:

2025辽宁历史类一分一段表:

高考一分一段怎么报志愿

在“一分一段表”中查找与自己成绩相对应的分数排名和这一位次成绩共有多少考生,以确定个人成绩在全省的位置。

通过“一分一段表”,考生可以知道自己的高考成绩在今年全省同科类考生中的位次(排名),再对比预填报学校往年校线分数所对应的位次,如果两个位次一致和相当,填报后录取的可能性就大;如果两者相差过大,落选的可能性就大。

找准位次比单纯比较分数更准确。因此,考生不能仅凭分数填报志愿,而应充分利用“一分一段表”,以成绩排名作为填报参考。

什么是高考位次

位次说的是你在这省所有考生中所占的位置,假如说排名第一的他的位次就是1,但是如果排名第二的有两个人他们的分数相同但是他们的位次是不同的,而他们的名次却是相同的。