千亿 >青海高考 >青海高考资讯 >青海成绩查询 >

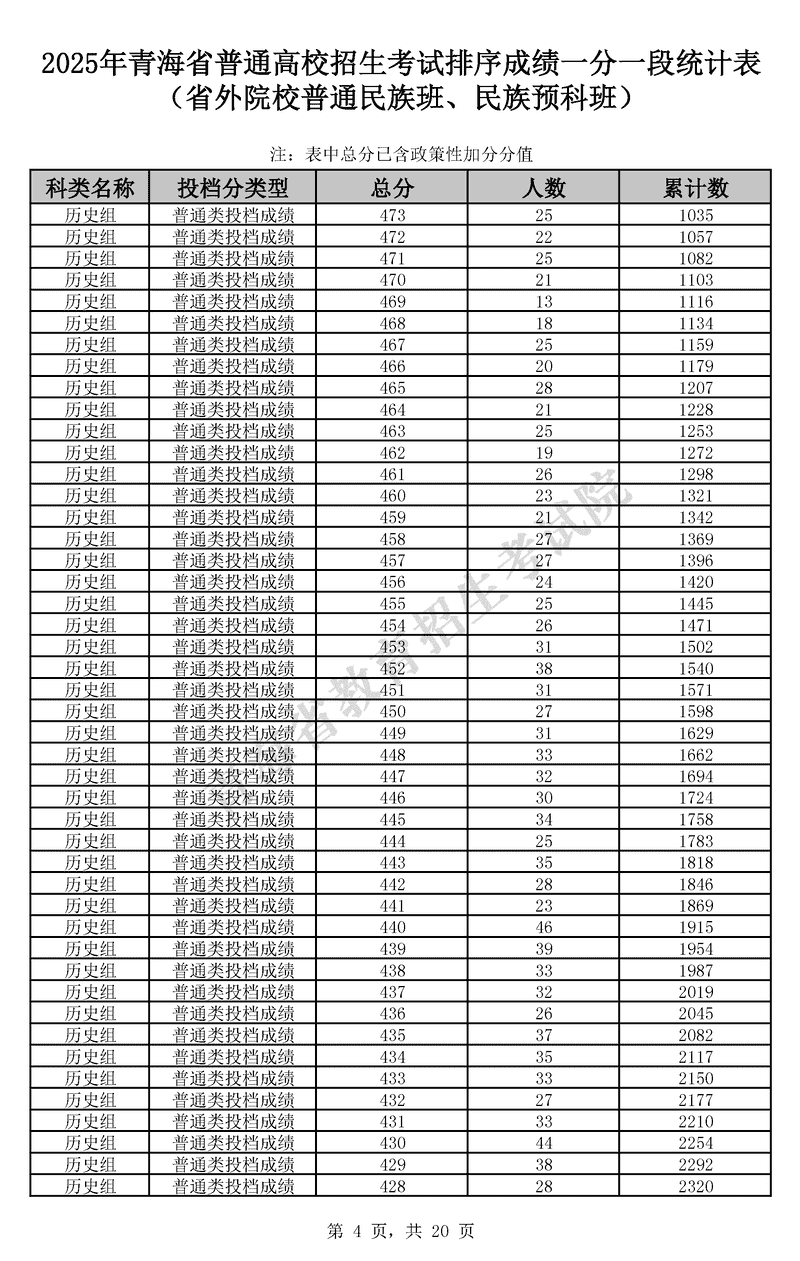
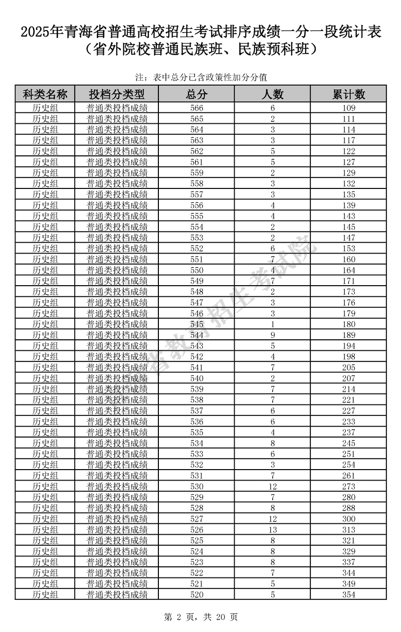
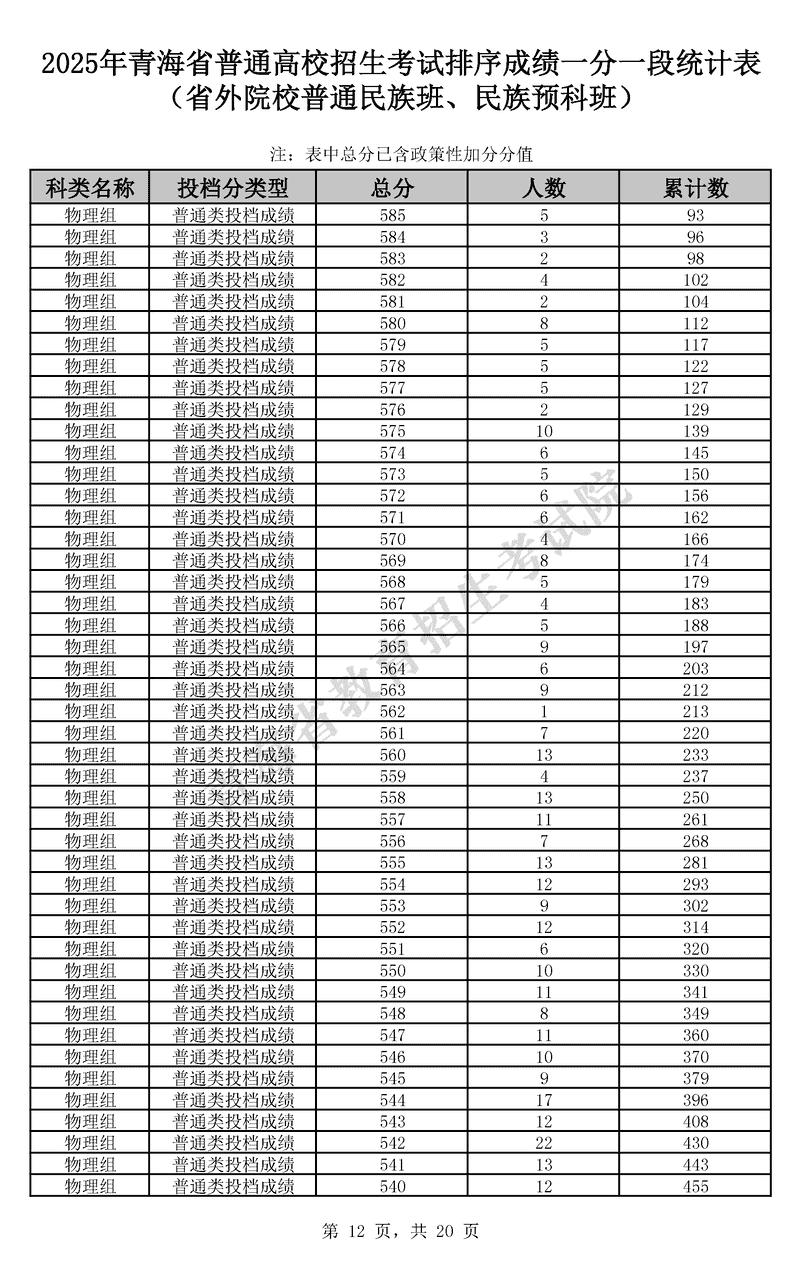
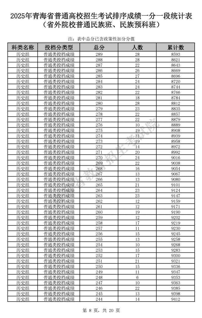
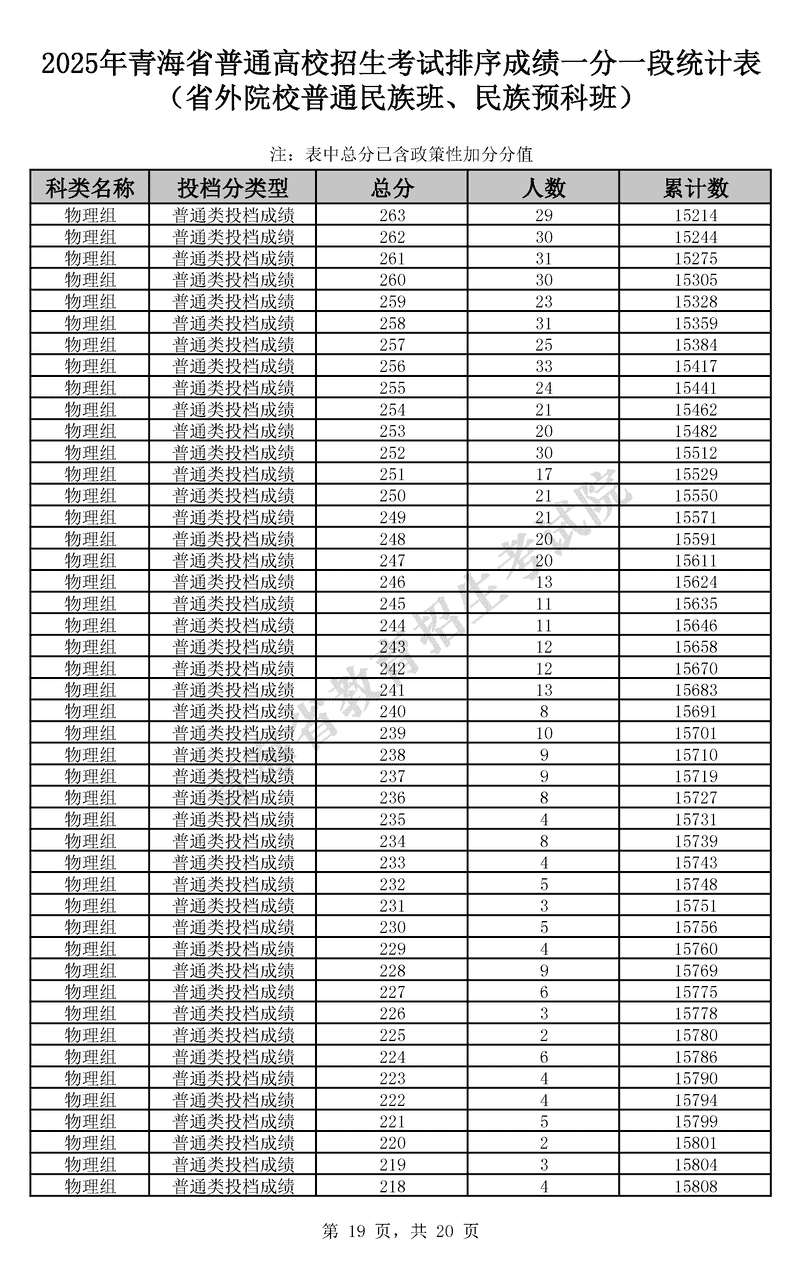
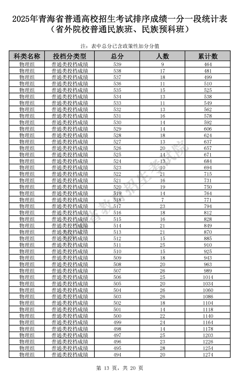
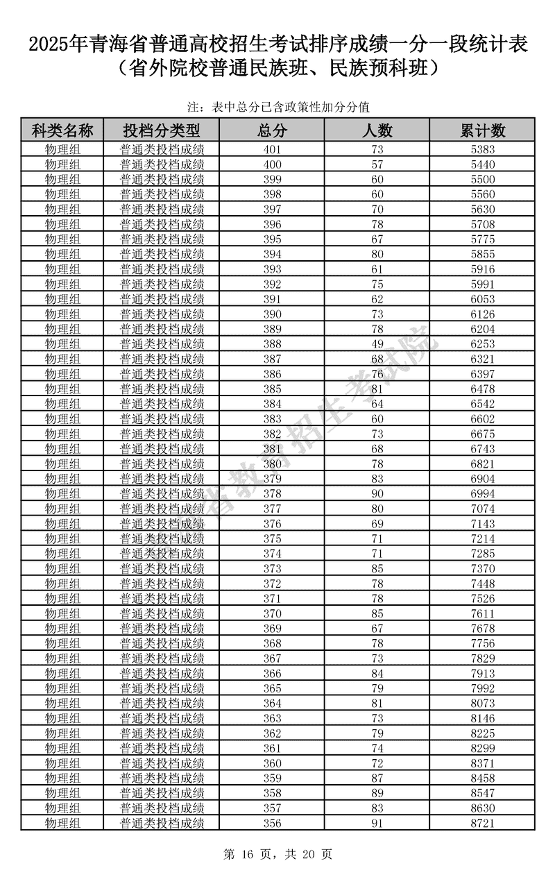
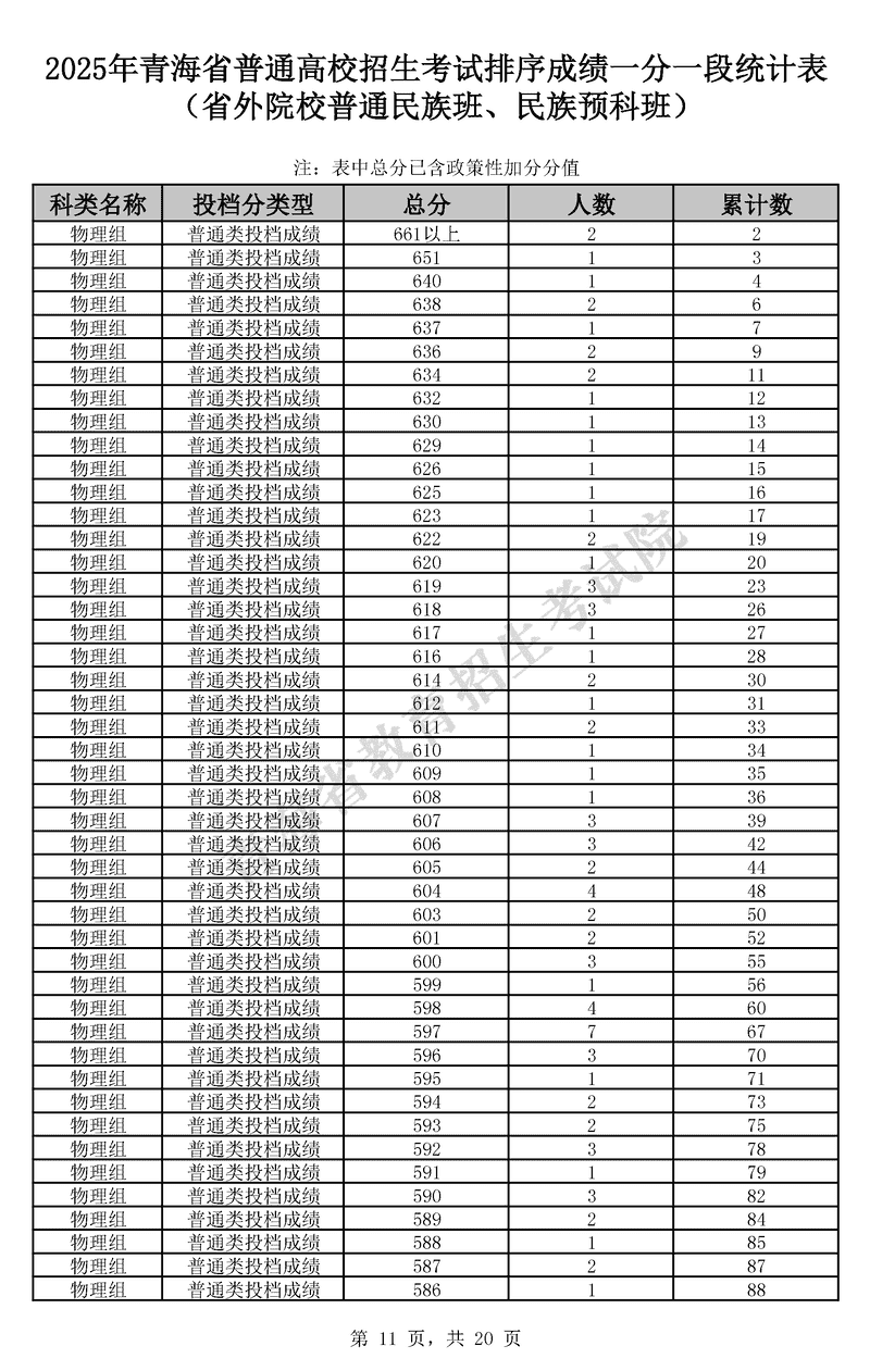
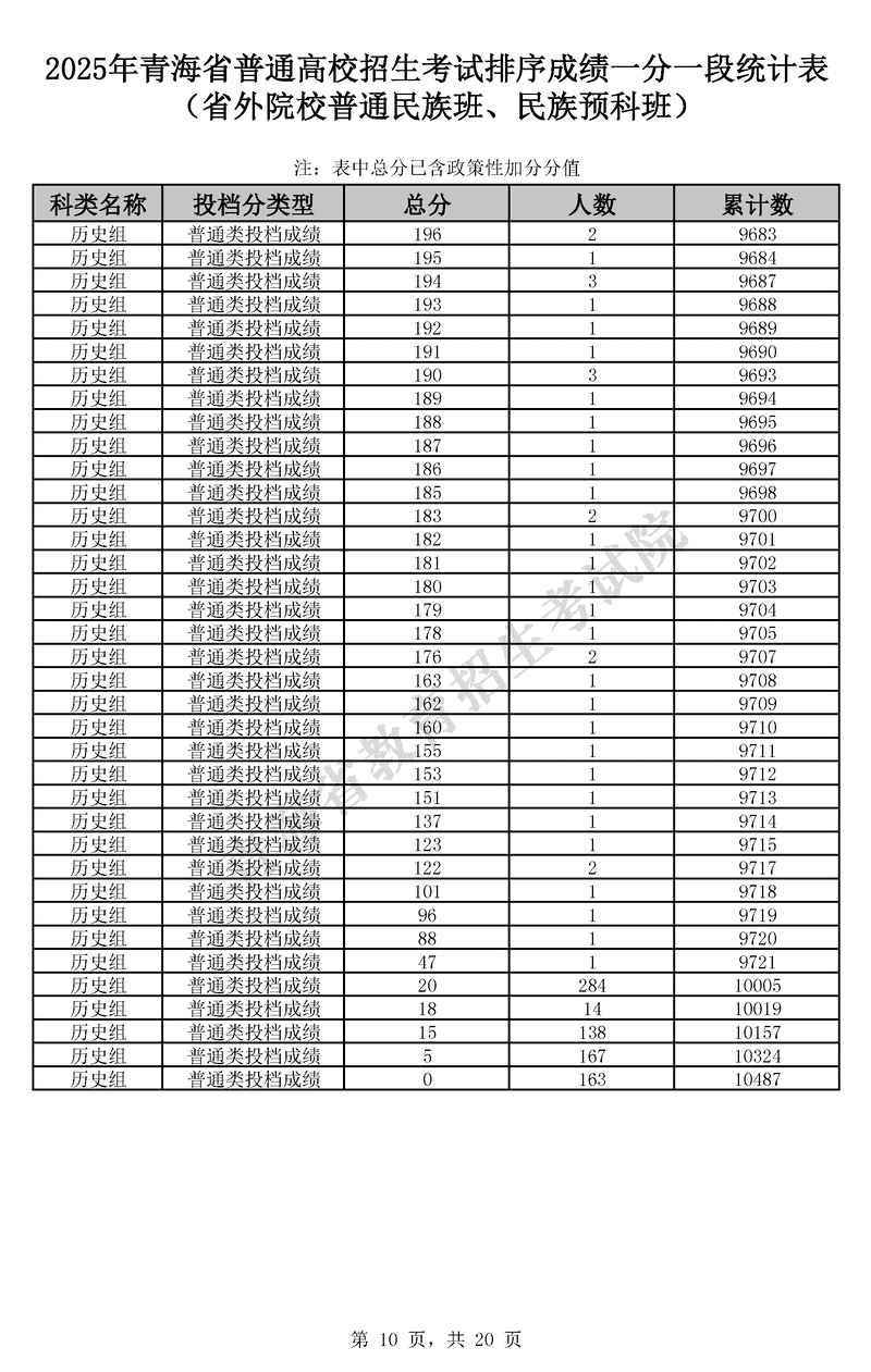
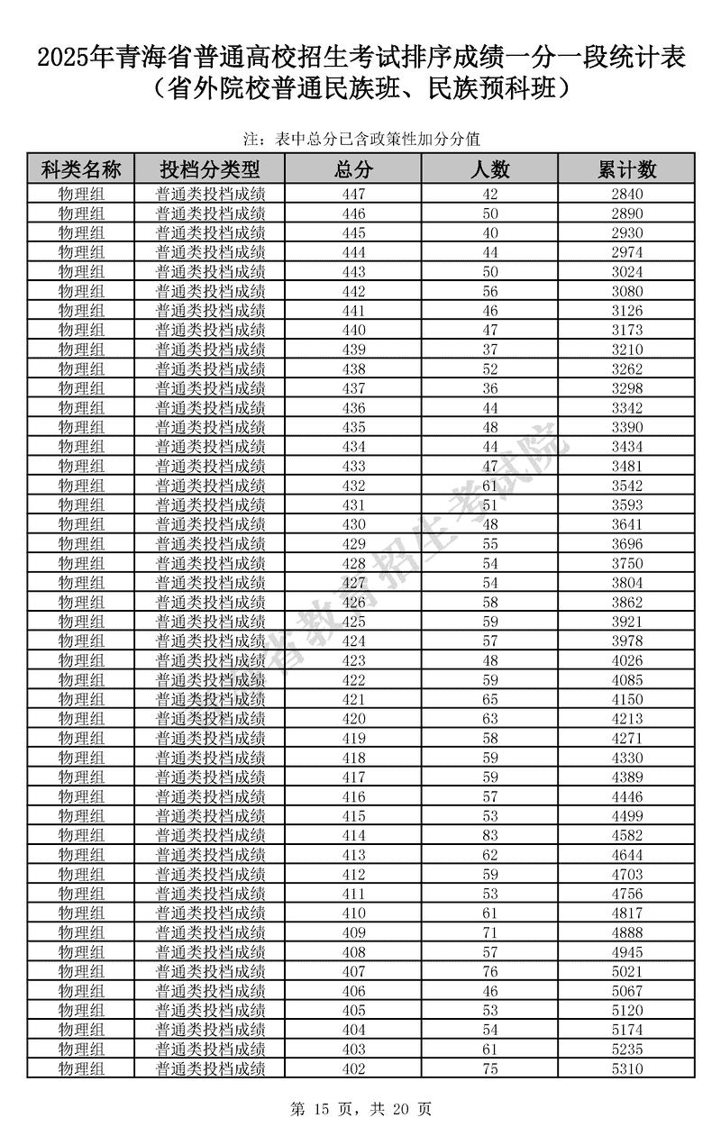
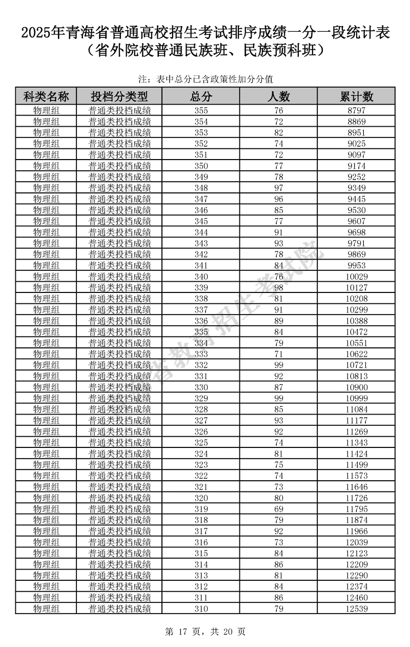
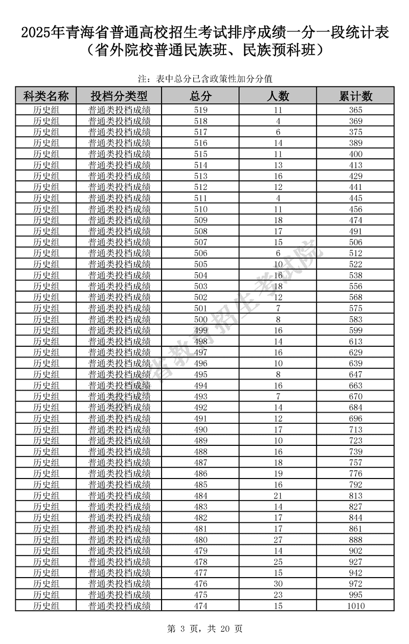
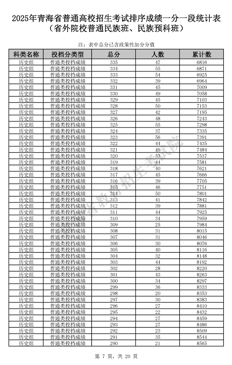
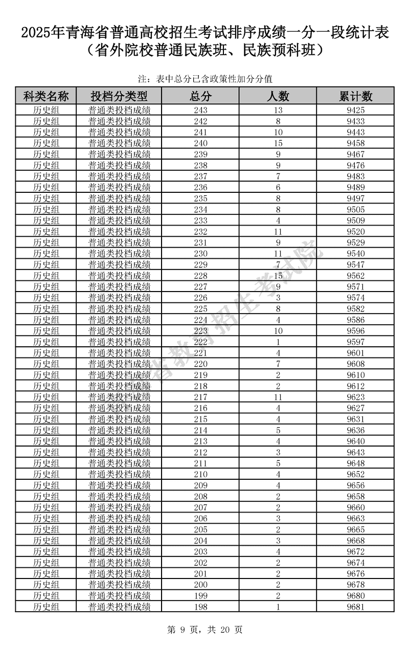
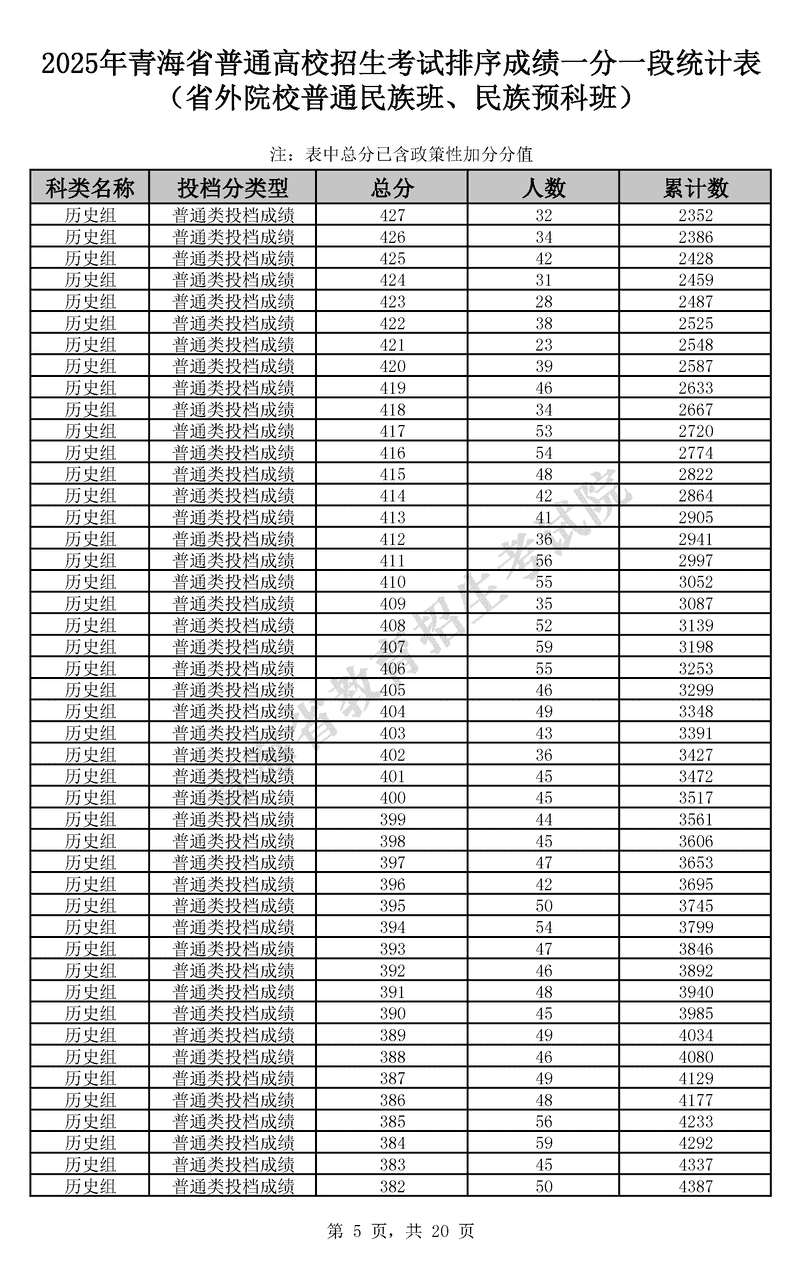
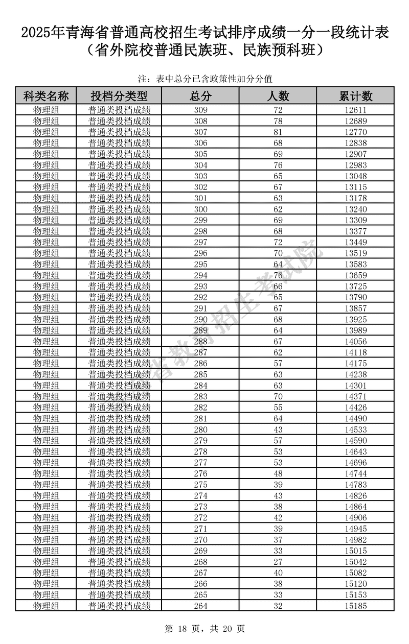
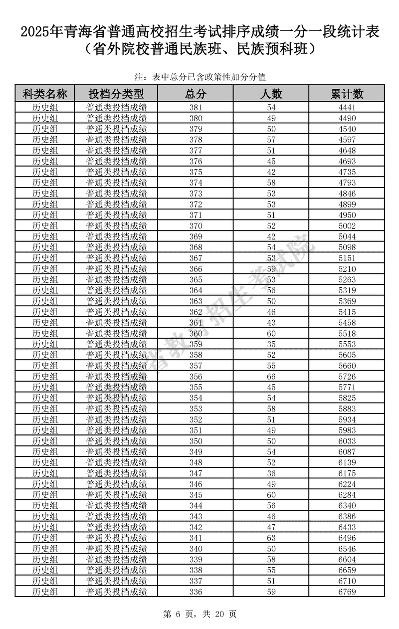
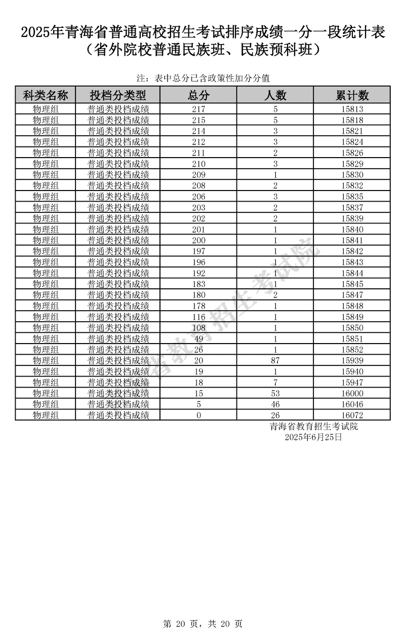
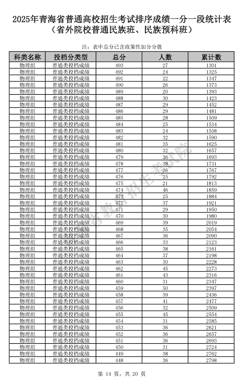
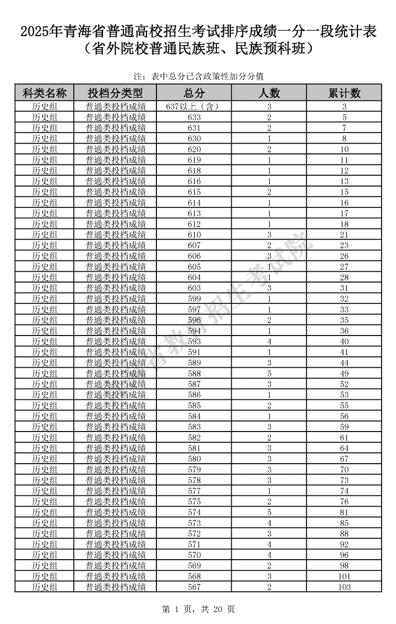
2025年青海高考排序成绩一分一段统计表(省外院校普通民族班、民族预科班)

时间: 青海 成绩查询

2025年青海省普通高校招生考试排序成绩一分一段统计表

(省外院校普通民族班、民族预科班)