千亿 >广东高考 >广东高考资讯 >广东成绩查询 >

广东2025高考一分一段表 附位次排名对应大学

时间: 广东 成绩查询

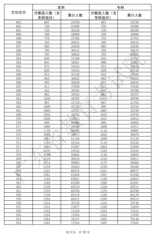
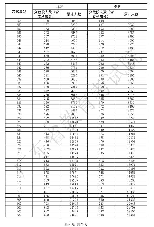
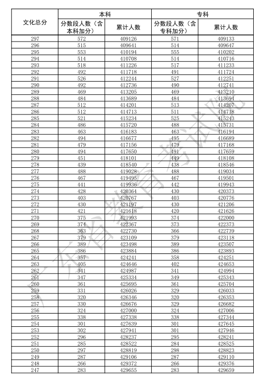
根据下文内容可知,广东2025年高考一分一段表已经为大家整理好了,其中,历史类661分累计人数是89人;655分累计人数是152人;647分累计人数是290人。以下是关于广东高考位次排名对应大学的详细内容,一起来看看吧。

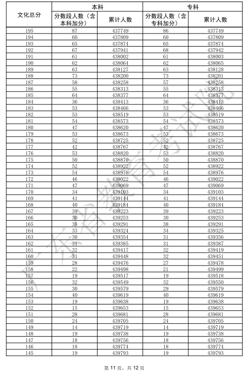
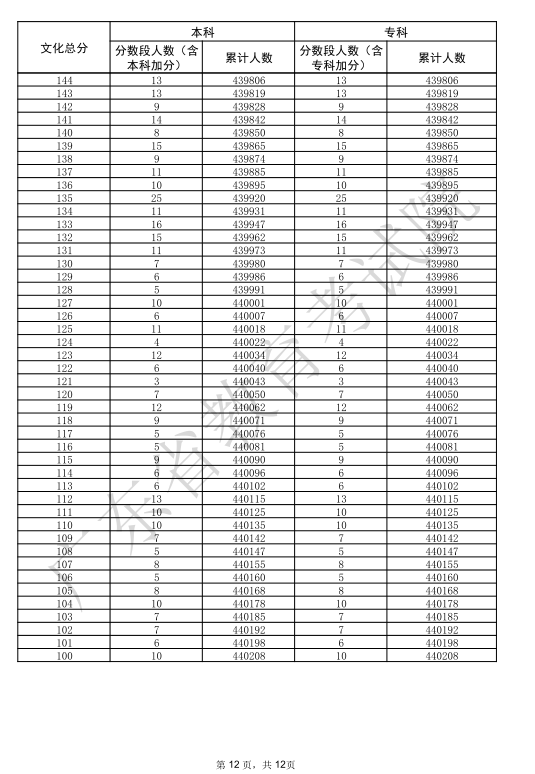
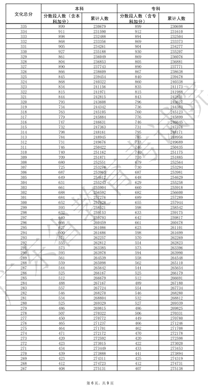
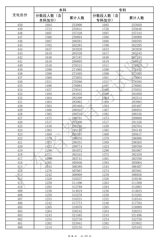
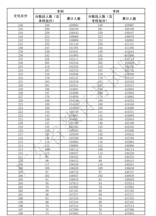
2025广东高考一分一段表

2025年广东高考一分一段表出炉。一分一段表可以帮助考生明确自己在本省市的排名情况,了解自己与同分考生的竞争位置。广东2025高考一分一段表如下:

2025广东高考物理类一分一段整理:

2025广东高考历史类一分一段整理:

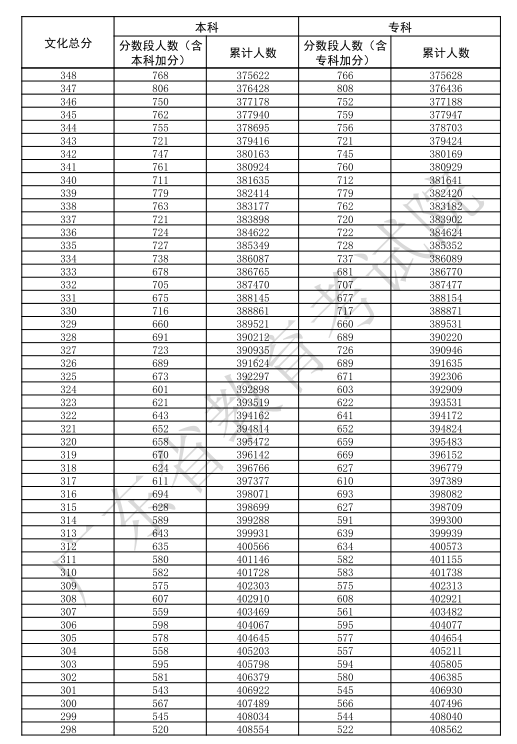
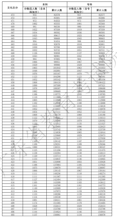
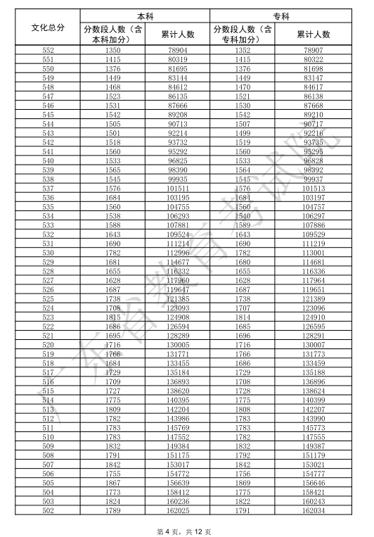
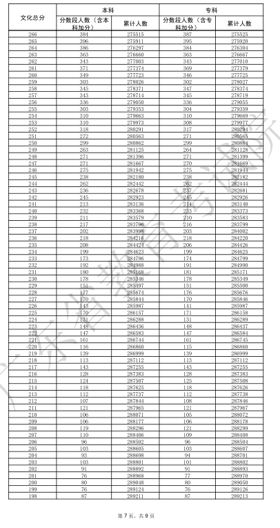
下文是为大家整理的2024年广东一分一段的数据,大家可以看一看:

广东2024年历史一分一段表

分数人数位次
665(含以上)2020
664323
663629
662635
661540
660646
659753
658356
657965
6561176
6551187
65414101
6536107
65211118
6519127
65013140
6499149
64813162
64714176
64610186
64517203
64420223
64317240
6424244
64112256
64024280
63922302
63829331
63729360
63625385
63524409
63433442
63336478
63229507
63141548
63045593
62937630
62849679
62743722
62654776
62552828
62452880
62367947
622731020
621451065
620871152
619451197
618771274
617801354
616601414
615801494
614721566
613911657
612831740
611801820
6101011921
609842005
608922097
6071222219
6061402359
6051072466
6041162582
6031132695
6021222817
6011282945
6001013046
5991353181
5981203301
5971223423
5961213544
5951653709
5941633872
5931524024
5921654189
5911664355
5901684523
5891514674
5881644838
5871775015
5861835198
5852005398
5841965594
5832075801
5821875988
5812106198
5801946392
5792046596
5782366832
5772147046
5762427288
5752407528
5742307758
5732317989
5722378226
5712498475
5702798754
5692469000
5682459245
5672459490
5662259715
5652719986
56429710283
56328810571
56231310884
56125011134
56032011454
55931911773
55831312086
55731512401
55634012741
55531213053
55433513388
55330813696
55234614042
55135014392
55038614778
54932515103
54837315476
54739115867
54642616293
54535416647
54441917066
54337417440
54236717807
54141818225
54038918614
53942619040
53839419434
53745619890
53642220312
53540820720
53440421124
53344921573
53242021993
53145522448
53045622904
52950223406
52843423840
52746324303
52649324796
52551025306
52448625792
52350526297
52247026767
52150127268
52047327741
51950628247
51852728774
51754029314
51658329897
51552730424
51455730981
51351531496
51256732063
51157032633
51053033163
50961533778
50854634324
50760434928
50660235530
50558936119
50463936758
50362937387
50265538042
50161638658
50062439282
49964139923
49861640539
49764641185
49665641841
49562942470
49465043120
49364843768
49266944437
49167445111
49072245833
48972146554
48868247236
48768847924
48671848642
48565849300
48472950029
48374950778
48269251470
48170352173
48075052923
47980753730
47873554465
47773955204
47673055934
47576756701
47474657447
47372258169
47269658865
47175959624
47075260376
46976261138
46875761895
46776162656
46680963465
46573964204
46482865032
46379565827
46280966636
46172367359
46089768256
45983069086
45883869924
45780570729
45685871587
45579072377
45481573192
45386374055
45280974864
45189475758
45083776595
44985577450
44885378303
44776979072
44685579927
44589980826
44485781683
44390882591
44286083451
44190584356
44083385189
43992186110
43893887048
43788687934
43690288836
43591689752
43488290634
43392391557
43299892555
43194793502
43088894390
42995295342
42892496266
42795397219
42697398192
42586199053
42493899991
423968100959
422960101919
4211047102966
420940103906
419952104858
418992105850
417960106810
416966107776
415894108670
414985109655
413976110631
4121018111649
411944112593
410951113544
4091001114545
4081000115545
4071039116584
406989117573
4051032118605
404972119577
4031060120637
4021006121643
4011027122670
4001041123711
3991006124717
3981011125728
3971068126796
3961033127829
3951058128887
394974129861
3931039130900
3921069131969
3911007132976
3901016133992
389989134981
3881070136051
3871048137099
3861061138160
3851043139203
3841083140286
3831133141419
3821087142506
3811082143588
3801059144647
3791118145765
3781030146795
3771014147809
3761008148817
3751054149871
3741072150943
3731103152046
3721042153088
3711078154166
3701062155228
3691019156247
3681032157279
3671043158322
366961159283
3651046160329
3641076161405
3631120162525
3621051163576
3611049164625
3601068165693
3591066166759
3581079167838
3571118168956
3561067170023
3551035171058
3541079172137
3531062173199
3521070174269
3511060175329
3501085176414
3491063177477
3481044178521
3471053179574
3461084180658
3451089181747
3441023182770
3431025183795
3421016184811
3411067185878
3401087186965
3391016187981
338983188964
337988189952
3361058191010
3351034192044
3341020193064
3331005194069
332959195028
3311022196050
330953197003
3291000198003
328975198978
327986199964
326949200913
325997201910
324981202891
323905203796
322940204736
321980205716
320980206696
319919207615
318925208540
317906209446
316943210389
315954211343
314911212254
313924213178
312913214091
311926215017
310886215903
309885216788
308887217675
307852218527
306891219418
305892220310
304853221163
303823221986
302837222823
301796223619
300794224413
299803225216
298830226046
297799226845
296804227649
295780228429
294798229227
293810230037
292745230782
291766231548
290794232342
289737233079
288756233835
287757234592
286737235329
285751236080
284733236813
283692237505
282695238200
281682238882
280682239564
279701240265
278698240963
277636241599
276663242262
275698242960
274614243574
273633244207
272611244818
271593245411
270564245975
269604246579
268575247154
267556247710
266563248273
265567248840
264512249352
263533249885
262507250392
261480250872
260512251384
259474251858
258480252338
257483252821
256478253299
255426253725
254456254181
253432254613
252390255003
251440255443
250364255807
249444256251
248383256634
247370257004
246369257373
245364257737
244387258124
243371258495
242326258821
241332259153
240335259488
239296259784
238263260047
237285260332
236302260634
235292260926
234287261213
233266261479
232264261743
231241261984
230243262227
229221262448
228213262661
227225262886
226218263104
225192263296
224189263485
223176263661
222201263862
221174264036
220192264228
219153264381
218151264532
217140264672
216129264801
215133264934
214112265046
213122265168
212140265308
211131265439
210104265543
209101265644
208101265745
20793265838
206103265941
20595266036
204105266141
20379266220
20279266299
20171266370
20066266436
19977266513
19873266586
19764266650
19660266710
19566266776
19462266838
19355266893
19264266957
19149267006
19058267064
18960267124
18851267175
18744267219
18654267273
18551267324
18453267377
18344267421
18244267465
18141267506
18045267551
17944267595
17841267636
17743267679
17640267719
17547267766
17438267804
17333267837
17229267866
17132267898
17046267944
16930267974
16829268003
16733268036
16631268067
16534268101
16437268138
16325268163
16231268194
16127268221
16031268252
15930268282
15827268309
15723268332
15626268358
15521268379
15437268416
15328268444
15217268461
15120268481
15019268500
14926268526
14831268557
14714268571
14626268597
14520268617
14417268634
14310268644
14211268655
14112268667
14016268683
1396268689
13810268699
13711268710
13612268722
13510268732
13412268744
13315268759
1329268768
13111268779
1307268786
1298268794
1287268801
12712268813
1265268818
1259268827
1249268836
1237268843
1227268850
12111268861
12011268872
11910268882
1185268887
11710268897
1168268905
1159268914
1148268922
11310268932
1124268936
1117268943
1109268952
1098268960
10812268972
1076268978
10611268989
1054268993
1044268997
1034269001
1028269009
1018269017
1007269024

广东2024年物理一分一段表

分数人数位次
695(含以上)3131
6941041
693647
692956
691662
6901173
6891285
68815100
68714114
68612126
68512138
68415153
68315168
68228196
68114210
68035245
67927272
67823295
67744339
67638377
67551428
67452480
67351531
67259590
67144634
67060694
66965759
66864823
66778901
66681982
665741056
664851141
663871228
662961324
6611051429
6601161545
6591121657
658991756
6571181874
6561251999
6551382137
6541312268
6531422410
6521452555
6511462701
6501512852
6491623014
6481623176
6471933369
6462053574
6452033777
6442053982
6432114193
6422334426
6412514677
6402714948
6392495197
6382575454
6372625716
6362445960
6352576217
6342656482
6332756757
6323057062
6312937355
6303137668
6293207988
6283258313
6273628675
6263799054
6253529406
6243579763
62338010143
62238810531
62140810939
62041211351
61945611807
61842412231
61745012681
61647513156
61550813664
61449714161
61352414685
61252915214
61150915723
61053916262
60955816820
60853217352
60755717909
60654318452
60560419056
60460719663
60361320276
60264120917
60159721514
60070222216
59963922855
59866723522
59764824170
59671624886
59571425600
59472926329
59375627085
59277627861
59178228643
59074929392
58977330165
58882930994
58782031814
58685432668
58581933487
58481834305
58387135176
58291936095
58188836983
58090637889
57994738836
57890939745
57794540690
576103041720
575100642726
57498843714
573100744721
572100645727
57197146698
570103847736
569101548751
568103449785
567104450829
566109451923
565110453027
564110754134
563116155295
562112656421
561112257543
560121258755
559120959964
558120561169
557120162370
556118463554
555122864782
554124266024
553127767301
552126668567
551132569892
550129371185
549126172446
548127973725
547128175006
546133976345
545135377698
544133179029
543134780376
542138381759
541136983128
540137184499
539139285891
538145287343
537148288825
536152390348
535148991837
534152993366
533157094936
532150296438
531151297950
530153099480
5291596101076
5281529102605
5271559104164
5261526105690
5251500107190
5241535108725
5231572110297
5221615111912
5211519113431
5201635115066
5191620116686
5181594118280
5171587119867
5161623121490
5151572123062
5141642124704
5131626126330
5121658127988
5111647129635
5101694131329
5091683133012
5081697134709
5071769136478
5061713138191
5051783139974
5041765141739
5031660143399
5021707145106
5011758146864
5001797148661
4991818150479
4981775152254
4971741153995
4961780155775
4951722157497
4941726159223
4931841161064
4921722162786
4911803164589
4901823166412
4891726168138
4881844169982
4871868171850
4861781173631
4851851175482
4841907177389
4831862179251
4821765181016
4811775182791
4801794184585
4791897186482
4781785188267
4771901190168
4761840192008
4751858193866
4741828195694
4731864197558
4721851199409
4711836201245
4701749202994
4691838204832
4681869206701
4671815208516
4661982210498
4651834212332
4641794214126
4631817215943
4621840217783
4611889219672
4601790221462
4591843223305
4581809225114
4571864226978
4561782228760
4551875230635
4541765232400
4531740234140
4521824235964
4511772237736
4501800239536
4491795241331
4481860243191
4471806244997
4461805246802
4451822248624
4441754250378
4431735252113
4421682253795
4411768255563
4401787257350
4391728259078
4381703260781
4371704262485
4361735264220
4351726265946
4341677267623
4331641269264
4321680270944
4311639272583
4301611274194
4291639275833
4281633277466
4271544279010
4261622280632
4251612282244
4241570283814
4231637285451
4221646287097
4211635288732
4201560290292
4191556291848
4181583293431
4171559294990
4161507296497
4151520298017
4141471299488
4131503300991
4121479302470
4111467303937
4101438305375
4091506306881
4081500308381
4071361309742
4061403311145
4051416312561
4041427313988
4031399315387
4021427316814
4011396318210
4001412319622
3991466321088
3981348322436
3971369323805
3961355325160
3951322326482
3941289327771
3931269329040
3921264330304
3911203331507
3901255332762
3891206333968
3881262335230
3871286336516
3861296337812
3851187338999
3841214340213
3831209341422
3821168342590
3811200343790
3801142344932
3791092346024
3781135347159
3771142348301
3761093349394
3751121350515
3741113351628
3731092352720
3721077353797
3711082354879
3701095355974
3691117357091
3681050358141
3671072359213
3661015360228
3651029361257
3641033362290
3631034363324
362975364299
3611092365391
360940366331
359994367325
3581013368338
357983369321
356974370295
355929371224
354975372199
353974373173
352943374116
351955375071
350886375957
349986376943
348895377838
347922378760
346865379625
345902380527
344874381401
343854382255
342830383085
341876383961
340839384800
339805385605
338866386471
337850387321
336882388203
335817389020
334865389885
333773390658
332793391451
331812392263
330815393078
329821393899
328781394680
327764395444
326790396234
325814397048
324754397802
323723398525
322769399294
321770400064
320760400824
319717401541
318717402258
317718402976
316733403709
315691404400
314668405068
313677405745
312664406409
311706407115
310656407771
309662408433
308683409116
307691409807
306643410450
305644411094
304640411734
303673412407
302660413067
301594413661
300607414268
299623414891
298592415483
297652416135
296624416759
295614417373
294550417923
293597418520
292573419093
291542419635
290581420216
289580420796
288559421355
287570421925
286505422430
285549422979
284603423582
283531424113
282536424649
281578425227
280538425765
279546426311
278541426852
277494427346
276524427870
275488428358
274493428851
273500429351
272515429866
271457430323
270442430765
269472431237
268465431702
267456432158
266449432607
265446433053
264459433512
263404433916
262430434346
261463434809
260413435222
259412435634
258430436064
257414436478
256414436892
255385437277
254374437651
253372438023
252420438443
251370438813
250359439172
249351439523
248351439874
247334440208
246361440569
245307440876
244294441170
243325441495
242279441774
241309442083
240285442368
239239442607
238283442890
237300443190
236261443451
235259443710
234242443952
233251444203
232222444425
231211444636
230213444849
229230445079
228218445297
227178445475
226185445660
225199445859
224174446033
223186446219
222179446398
221137446535
220155446690
219170446860
218123446983
217144447127
216133447260
215145447405
214126447531
213114447645
212119447764
211106447870
210115447985
209106448091
20885448176
20784448260
20684448344
20583448427
20486448513
20381448594
20280448674
20164448738
20066448804
19972448876
19867448943
19762449005
19658449063
19542449105
19463449168
19345449213
19263449276
19146449322
19046449368
18940449408
18852449460
18750449510
18638449548
18539449587
18446449633
18338449671
18227449698
18136449734
18035449769
17930449799
17838449837
17733449870
17638449908
17537449945
17433449978
17328450006
17236450042
17130450072
17031450103
16931450134
16835450169
16725450194
16627450221
16521450242
16426450268
16316450284
16222450306
16115450321
16030450351
15918450369
15829450398
15723450421
15619450440
15522450462
15417450479
15323450502
15215450517
1517450524
15013450537
14915450552
14814450566
14717450583
14616450599
1454450603
1448450611
14320450631
14210450641
14115450656
14010450666
13910450676
13810450686
1378450694
13610450704
1358450712
13412450724
1335450729
1327450736
13110450746
1306450752
12910450762
1289450771
1275450776
12610450786
1254450790
12411450801
12310450811
1227450818
1213450821
1209450830
1196450836
1187450843
1175450848
1169450857
1156450863
1147450870
1132450872
1125450877
1116450883
1106450889
1099450898
1085450903
1075450908
1065450913
1058450921
1048450929
1039450938
10210450948
1016450954
1007450961

2025广东高考多少分能上什么大学

物理类

高分段(600分以上):可关注中山大学、华南理工大学等省内顶尖高校,以及哈尔滨工业大学等省外名校。

中等分数段(500-600分):可考虑广东外语外贸大学、广东工业大学等省内外本科院校。

历史类

高分段(550分以上):可关注中山大学、华南理工大学等省内顶尖高校的历史类专业。

中等分数段(500-550分):可考虑广东外语外贸大学、广东工业大学等省内外本科院校的历史类专业。