东北师大附中2025高三下学期第四次模考数学试题及答案
时间:
吉林 数学试题
东北师大附中2025高三下学期第四次模考数学考试已于近日开考,为方便考生考后及时查看考试情况,查漏补缺、弥补不足,本文整理了试题答案解析相关信息!
汇总:东北师大附中2025高三下学期第四次模考试题及答案汇总
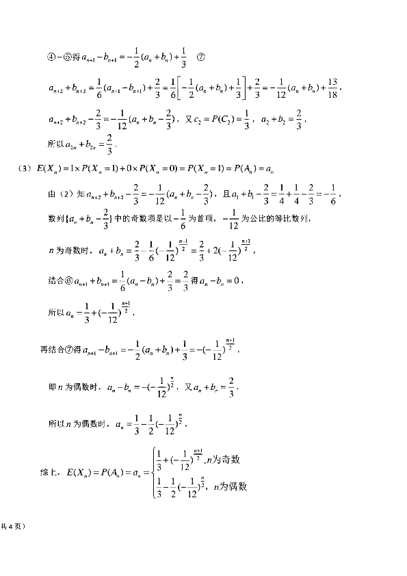
数学试题及答案解析













东北师大附中2025高三下学期第四次模考数学考试已于近日开考,为方便考生考后及时查看考试情况,查漏补缺、弥补不足,本文整理了试题答案解析相关信息!
汇总:东北师大附中2025高三下学期第四次模考试题及答案汇总
数学试题及答案解析












