汕头三模2025年高三第三次模拟数学试题及答案
时间:
广东 数学试题
广东汕头三模2025年高三第三次模拟数学考试已于近日开考,为方便考生考后及时查看考试情况,查漏补缺、弥补不足,本文整理了试题答案解析相关信息!
汇总:广东省汕头市2025届高三第三次模拟考试试题及答案汇总
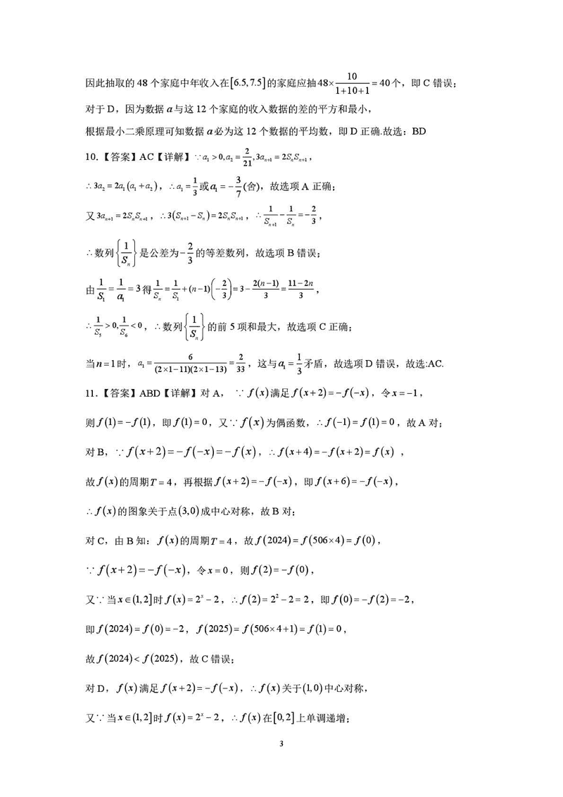
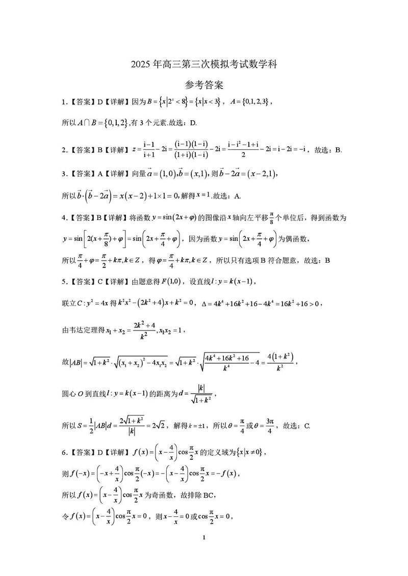
数学试题及答案解析
广东汕头三模2025年高三第三次模拟数学考试已于近日开考,为方便考生考后及时查看考试情况,查漏补缺、弥补不足,本文整理了试题答案解析相关信息!
汇总:广东省汕头市2025届高三第三次模拟考试试题及答案汇总
数学试题及答案解析