千亿 >湖南高考 >湖南高考资讯 >湖南成绩查询 >

2025湖南高考成绩物理类一分一段表出炉 最新位次排名

时间: 湖南 成绩查询

高考的一分一段位次表主要为展示考生个人分数在省内的排名情况,对于2025年参加高考的考生而言,当高考成绩及一分一段表正式公布后,考生可依据自身位次,换算成前一年的对应分数。下面是小编整理的2025湖南高考成绩物理类一分一段表,一起来看看吧!

2025湖南高考成绩物理类一分一段表

2025湖南高考高考物理类一分一段表通常在高考成绩公布后1-3天内由本省教育考试院发布。2025湖南高考物理类一分一段表公布,以下是详细内容,大家可以看一看:

一分一段表使用方法:

第一步:查找个人位次

湖南的考生首先需要在一分一段表中找到与自己成绩相对应的分数排名。查看这一分数对应的累计人数,这个累计人数就是考生在全省的位次。

第二步:对比往年录取数据

湖南的考生需要查找目标院校历年录取数据,特别关注录取分数对应的位次。将自己的位次与往年录取位次进行对比,以判断自己是否有报考该院校的实力。

第三步:利用分数差值

湖南的考生还可以看自己的高考成绩与一段线的分数差值。假定往年超过一段线一定分数能上某所学校,考生可以计算自己今年超过一段线的分数,如果超过了相应分数,则填报这所学校的希望较大。

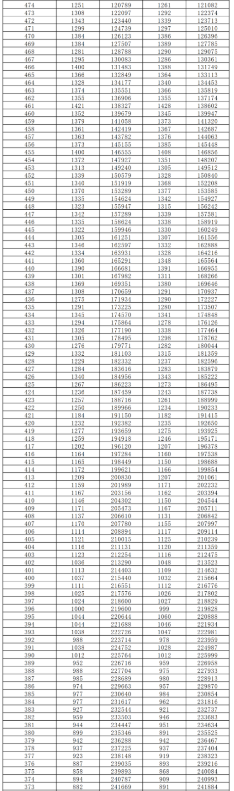
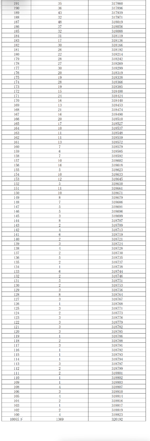
2024湖南高考成绩物理类一分一段表

以下是为大家整理的2024湖南高考成绩物理类一分一段表数据,大家可以参考。