2022年湖南高考物理试卷真题及答案解析
时间:
理综试题
2022年湖南高考物理试卷使用是本省命题卷,试题与答案解析已公布,近请留意!公布后,本站会第一时间更新2022湖南高考物理试卷与答案,供广大考生及家长对照、估分、模拟使用。
真题试卷
2022年湖南高考物理试卷真题试卷







答案解析(已公布)
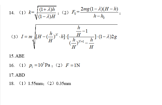
2022年湖南高考物理真题答案解析


其它科目
2022年湖南高考语文试卷真题及答案解析
2022年湖南高考数学试卷真题及答案解析
2022年湖南高考英语试卷真题及答案解析
2022年湖南高考物理试卷真题及答案解析
2022年湖南高考化学试卷真题及答案解析
2022年湖南高考历史试卷真题及答案解析
2022年湖南高考地理试卷真题及答案解析
2022年湖南高考生物试卷真题及答案解析
2022年湖南高考政治试卷真题及答案解析



